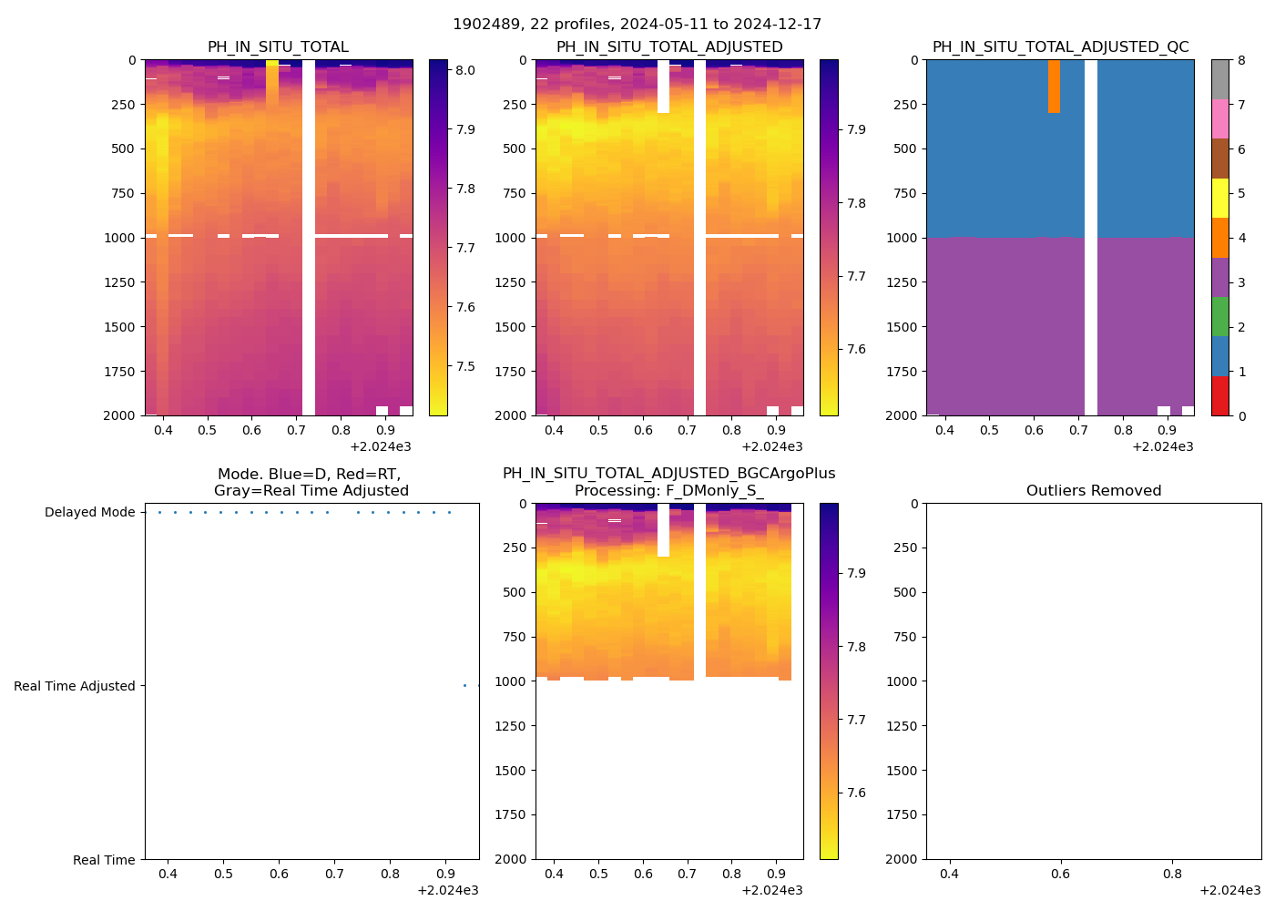
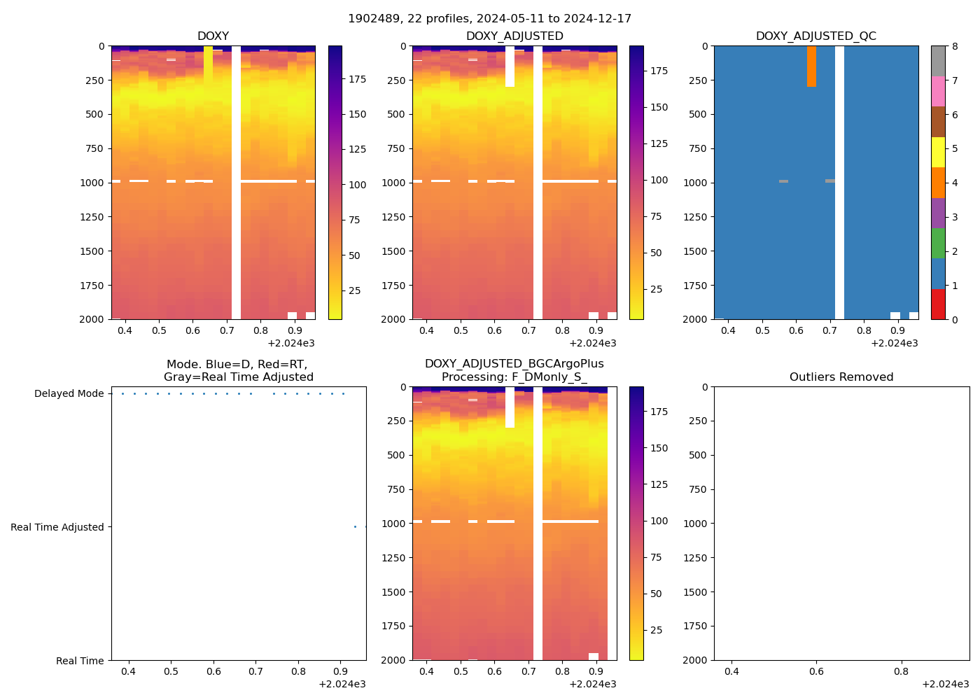
1902489: GO-BGC, WHOI (2024-05-11T18:03 to 2024-12-17T14:13)
22 profiles completed
Individual float file download: BGC_Argo_Plus_Global

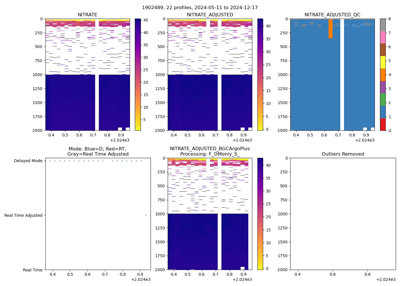
1902489: GO-BGC, WHOI (2024-05-11T18:03 to 2024-12-17T14:13)
22 profiles completed
Individual float file download: BGC_Argo_Plus_Global
