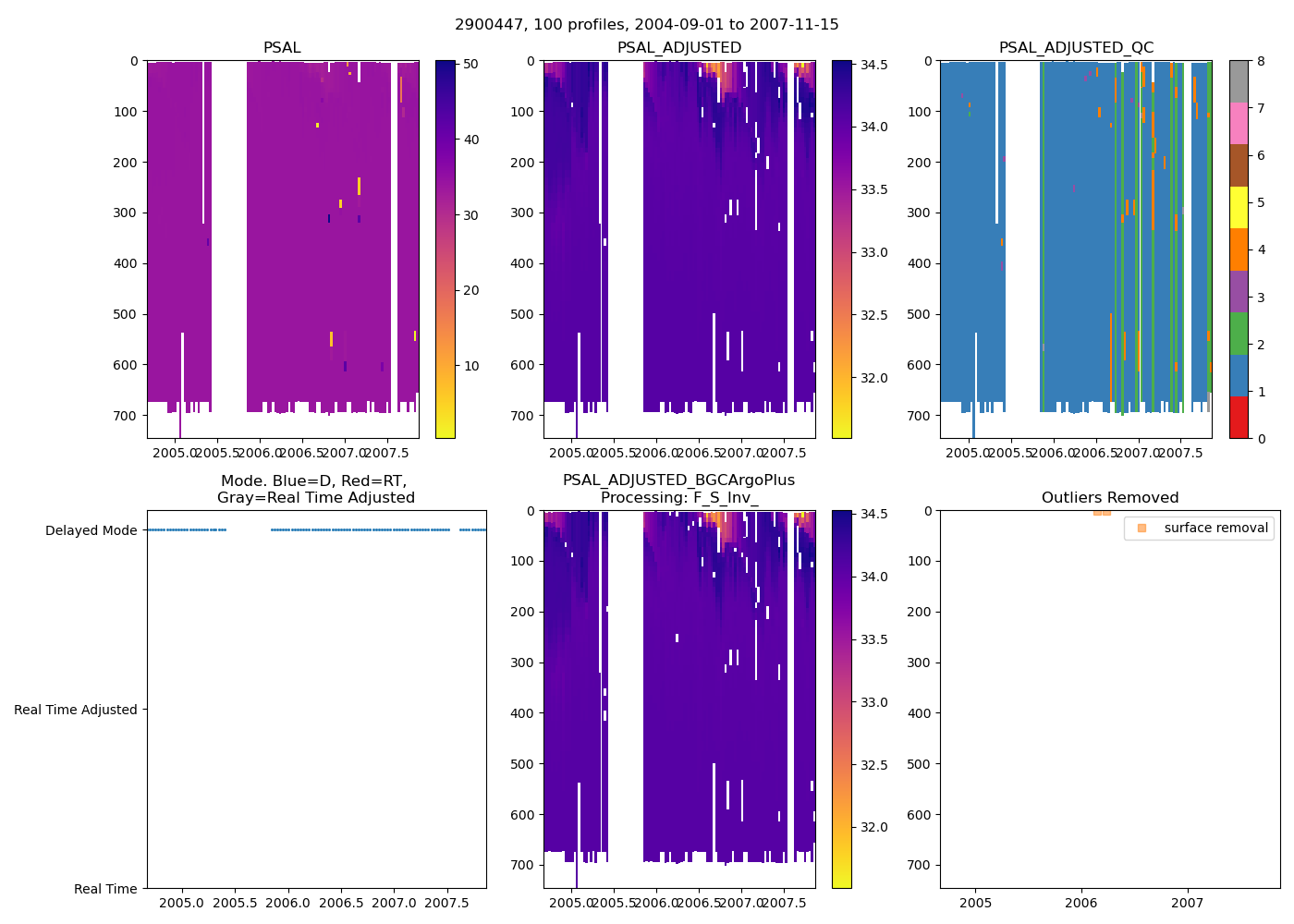
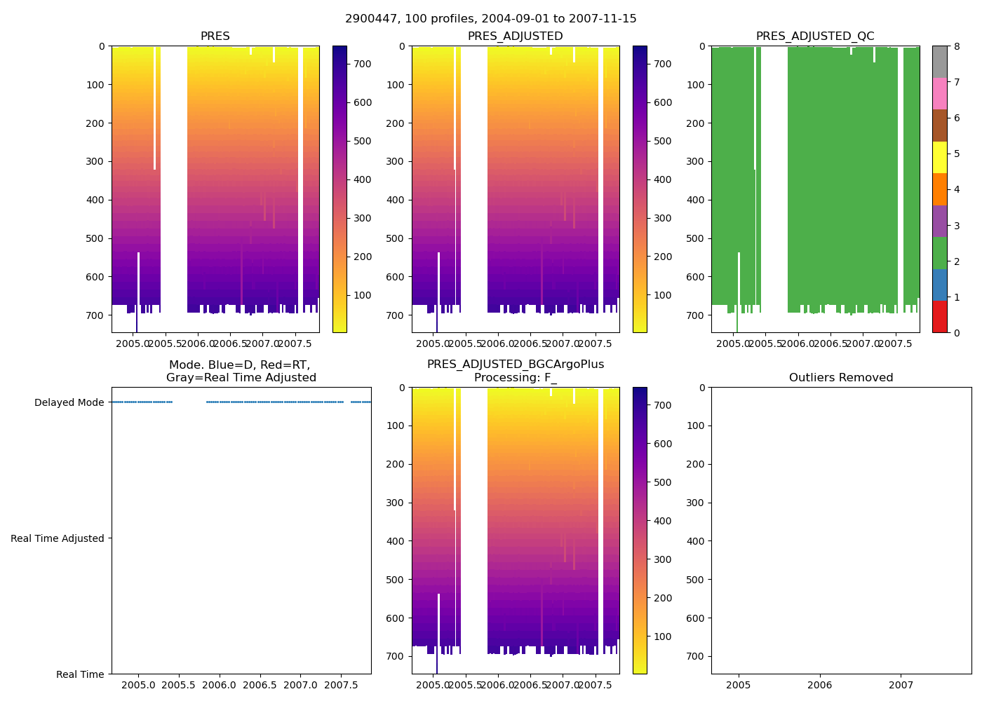
2900447: Argo KORDI (2004-09-01T03:47 to 2007-11-15T03:44)
100 profiles completed
Individual float file download: BGC_Argo_Plus_Global

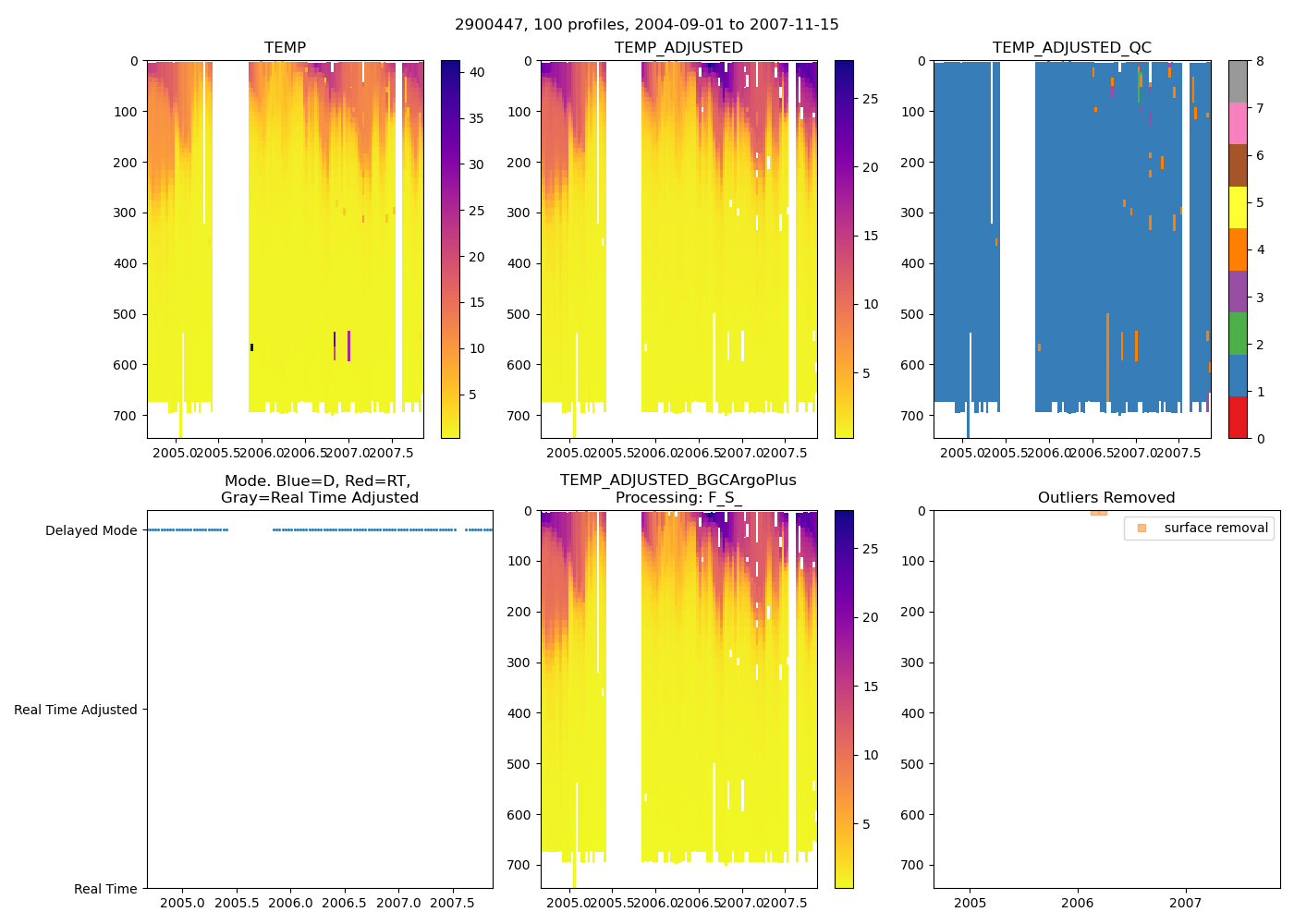
2900447: Argo KORDI (2004-09-01T03:47 to 2007-11-15T03:44)
100 profiles completed
Individual float file download: BGC_Argo_Plus_Global
