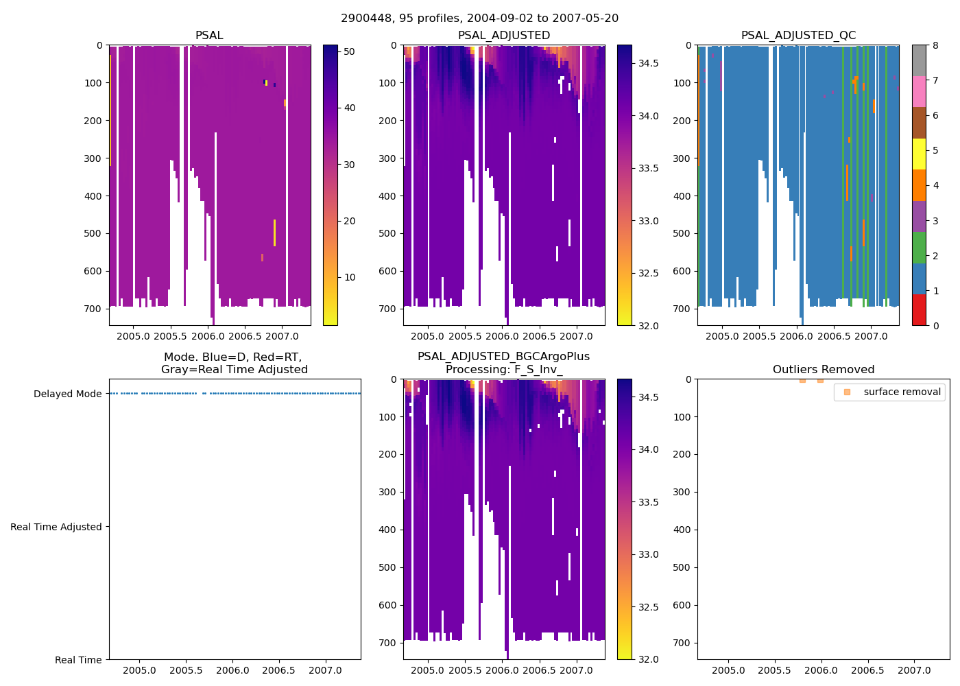
2900448: Argo KORDI (2004-09-02T01:51 to 2007-05-20T01:30)
95 profiles completed
Individual float file download: BGC_Argo_Plus_Global
img-png img-png img-png img-png img-png