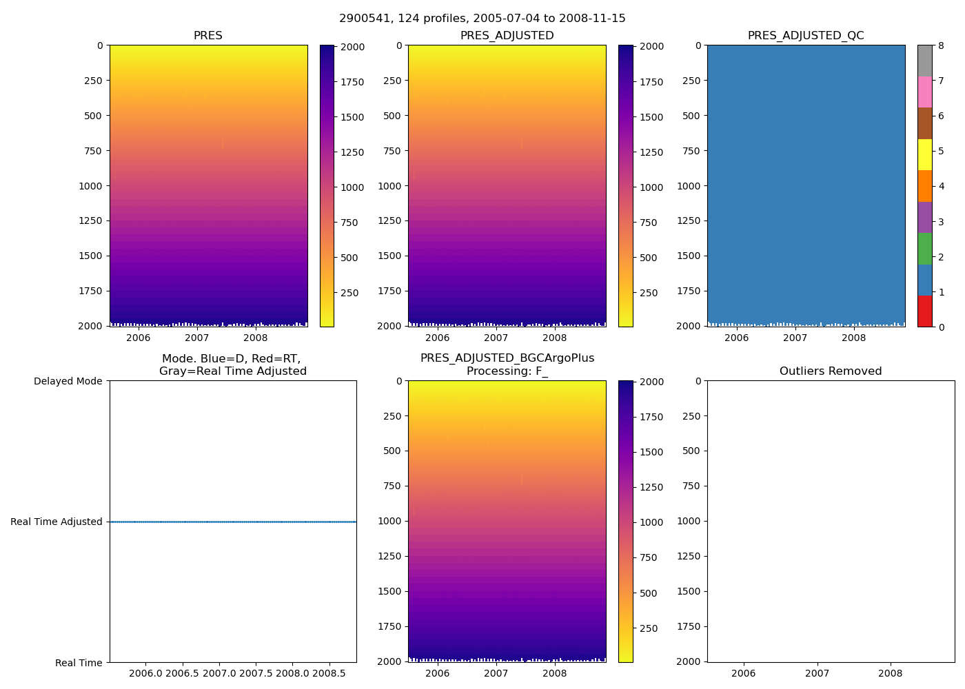
2900541: J-ARGO (2005-07-04T06:09 to 2008-11-15T06:11)
124 profiles completed
Individual float file download: BGC_Argo_Plus_Global
img-png img-png img-png img-png img-png