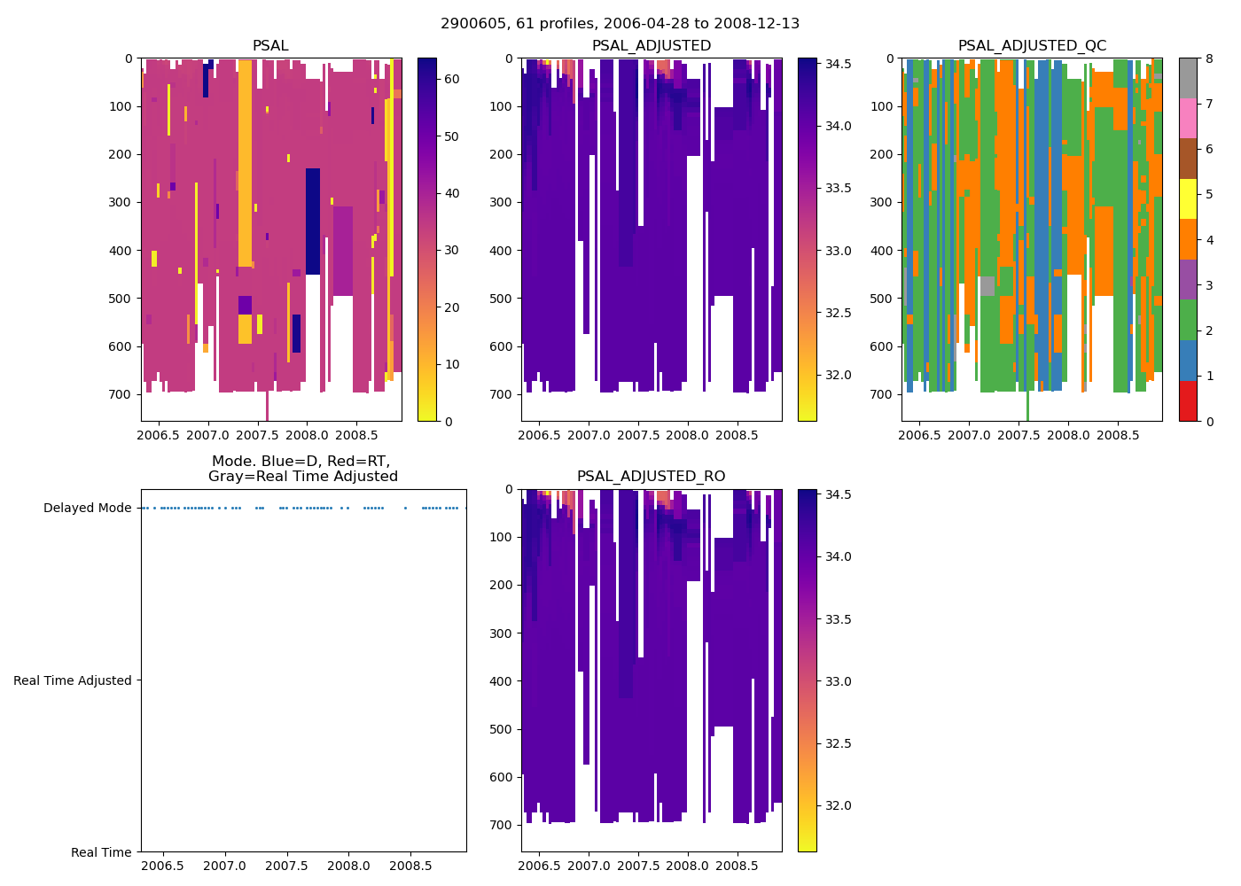
2900605: Argo KORDI (2006-04-28T05:39 to 2008-12-13T05:27)
61 profiles completed
Individual float file download: BGC_Argo_Plus_Global
img-png img-png img-png img-png img-png img-png