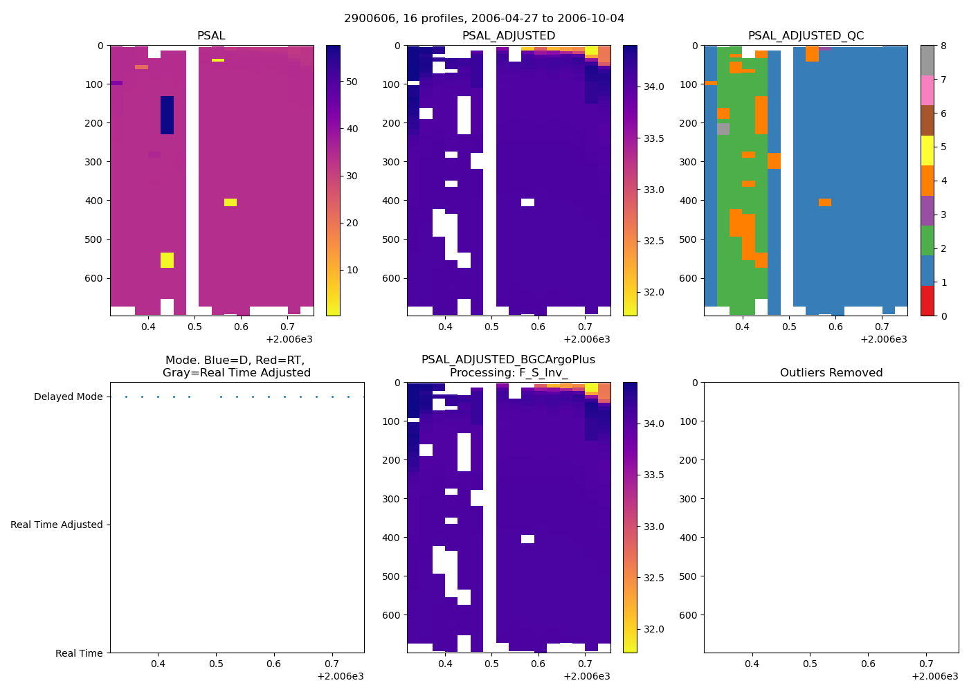
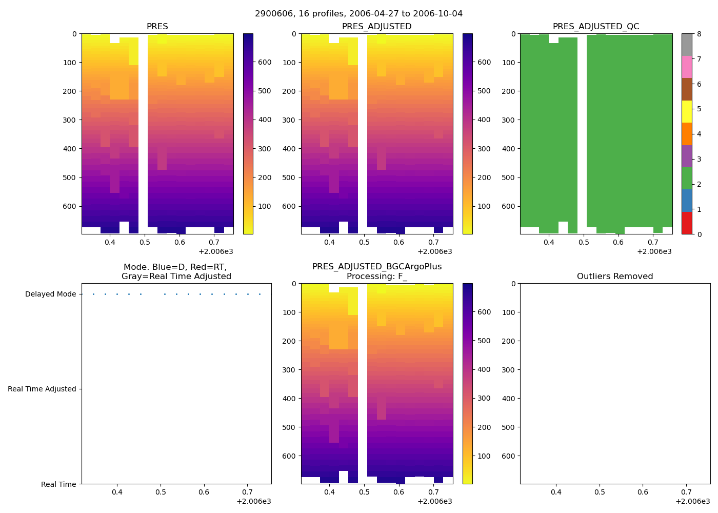
2900606: Argo KORDI (2006-04-27T11:49 to 2006-10-04T12:07)
16 profiles completed
Individual float file download: BGC_Argo_Plus_Global
img-png img-png img-png img-png img-png