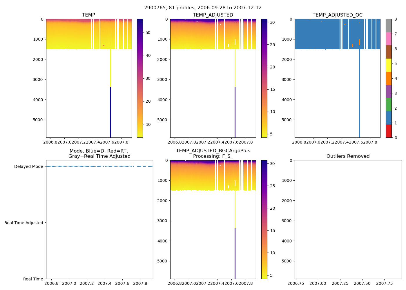
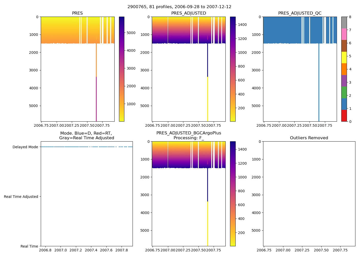
2900765: Argo INDIA (2006-09-28T21:33 to 2007-12-12T21:28)
81 profiles completed
Individual float file download: BGC_Argo_Plus_Global

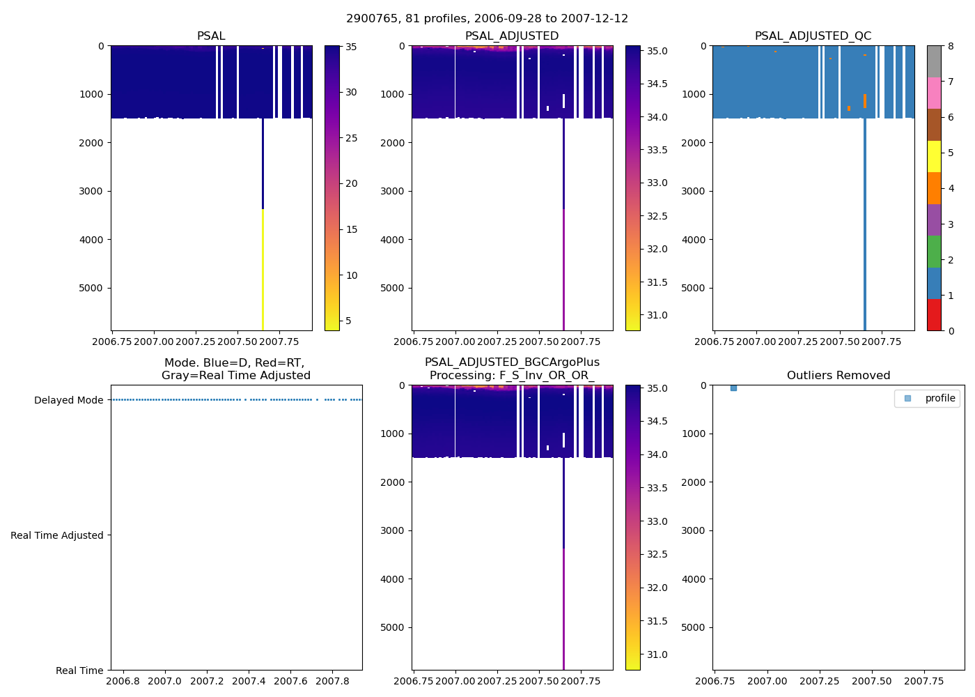
2900765: Argo INDIA (2006-09-28T21:33 to 2007-12-12T21:28)
81 profiles completed
Individual float file download: BGC_Argo_Plus_Global
