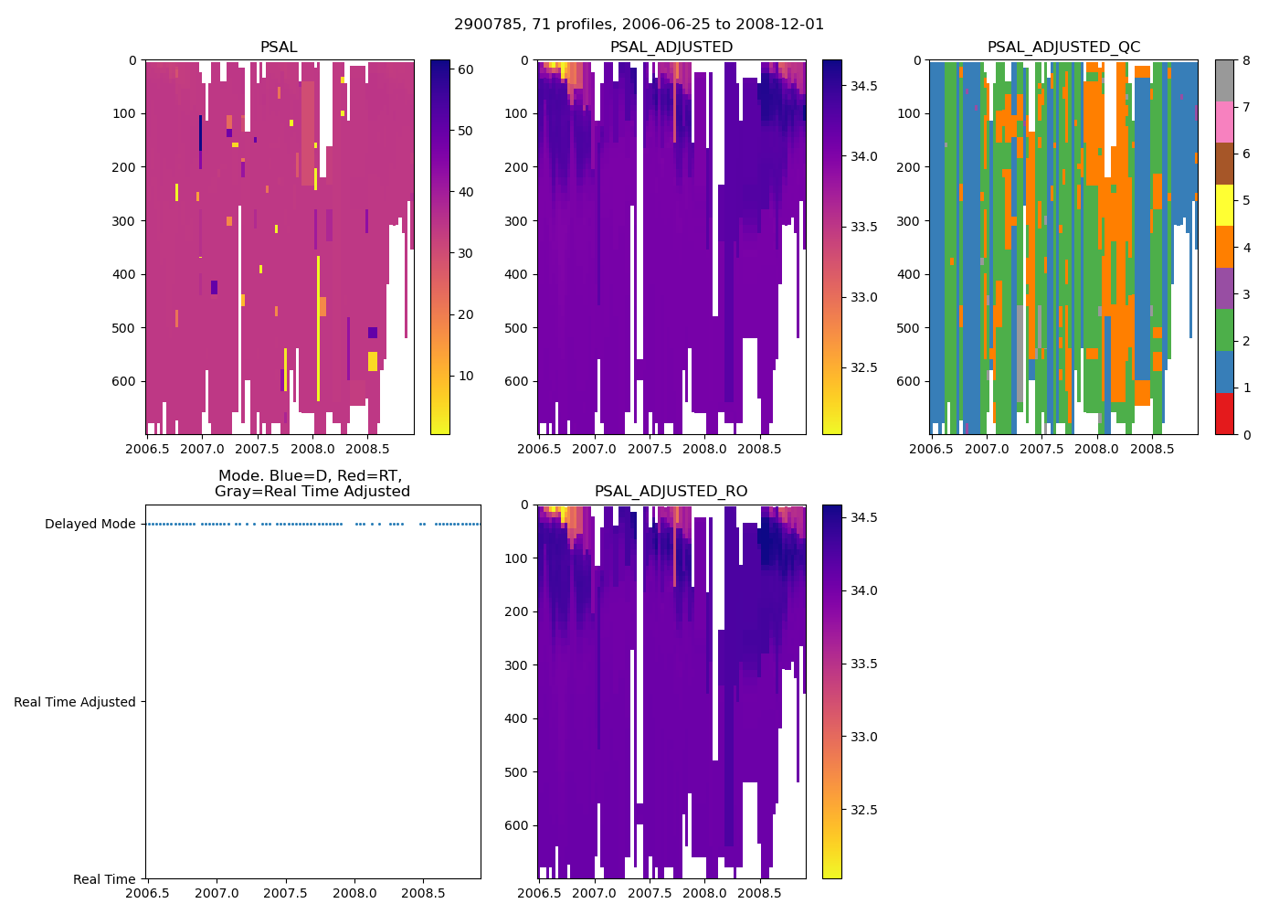
2900785: Argo KORDI (2006-06-25T20:58 to 2008-12-01T20:14)
71 profiles completed
Individual float file download: BGC_Argo_Plus_Global
img-png img-png img-png img-png img-png