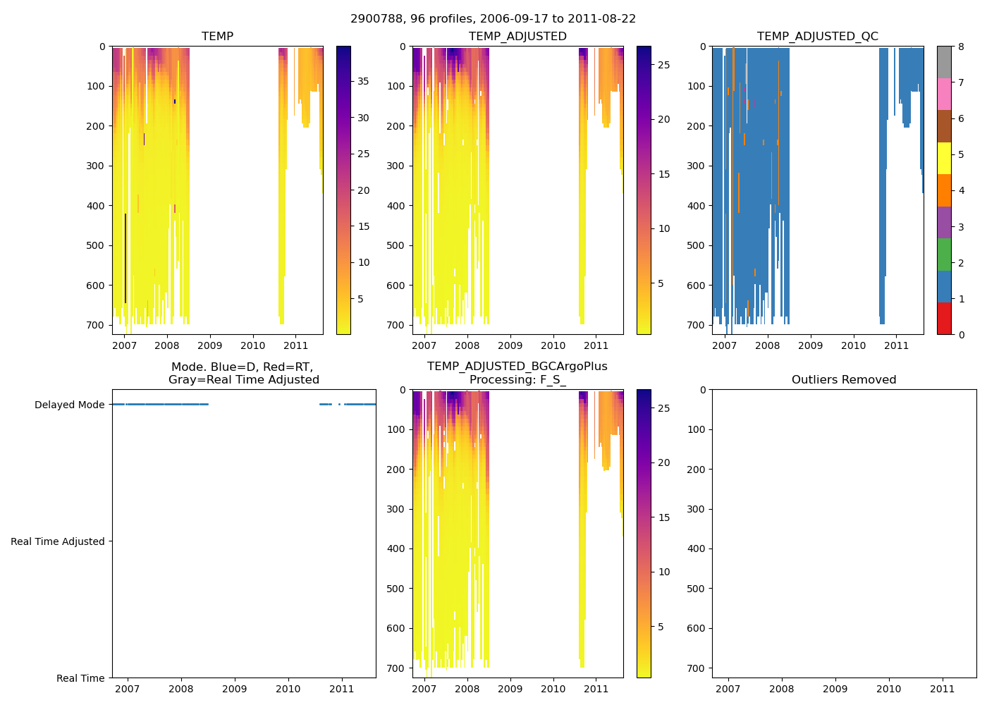
2900788: Argo KORDI (2006-09-17T23:20 to 2011-08-22T22:20)
96 profiles completed
Individual float file download: BGC_Argo_Plus_Global

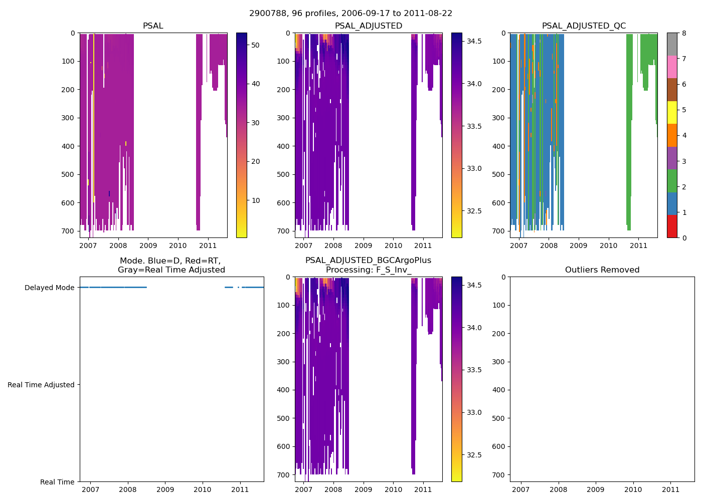
2900788: Argo KORDI (2006-09-17T23:20 to 2011-08-22T22:20)
96 profiles completed
Individual float file download: BGC_Argo_Plus_Global
