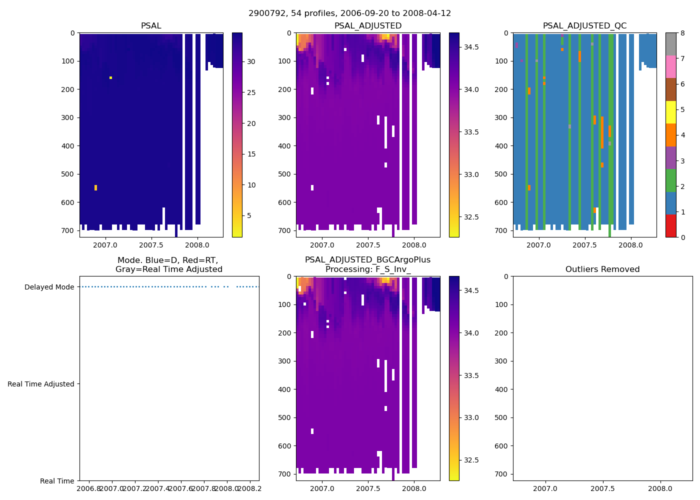
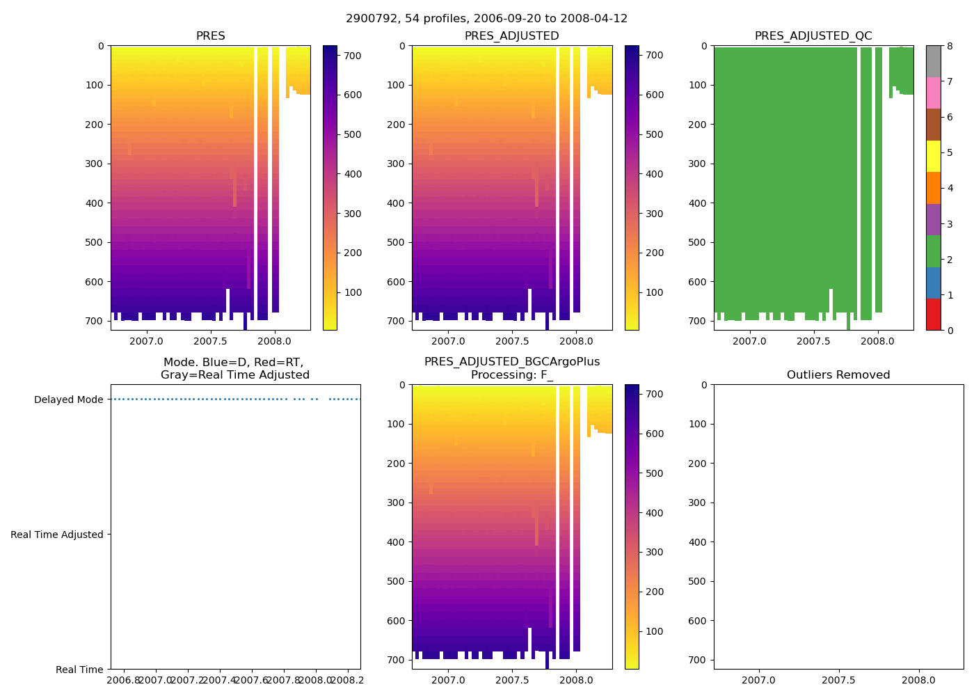
2900792: Argo KORDI (2006-09-20T14:04 to 2008-04-12T13:38)
54 profiles completed
Individual float file download: BGC_Argo_Plus_Global
img-png img-png img-png img-png img-png