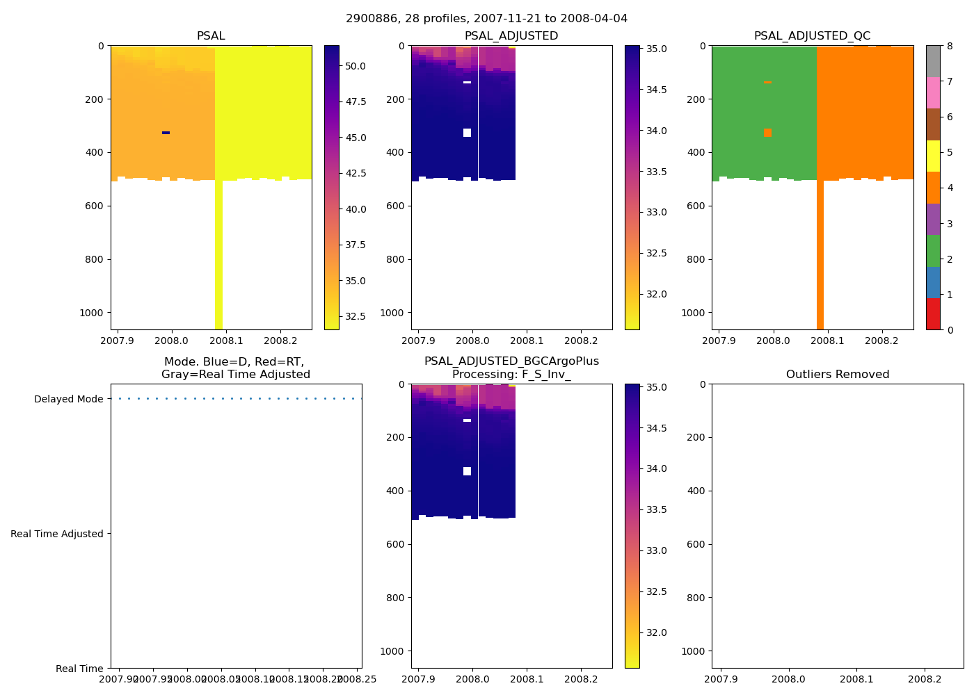
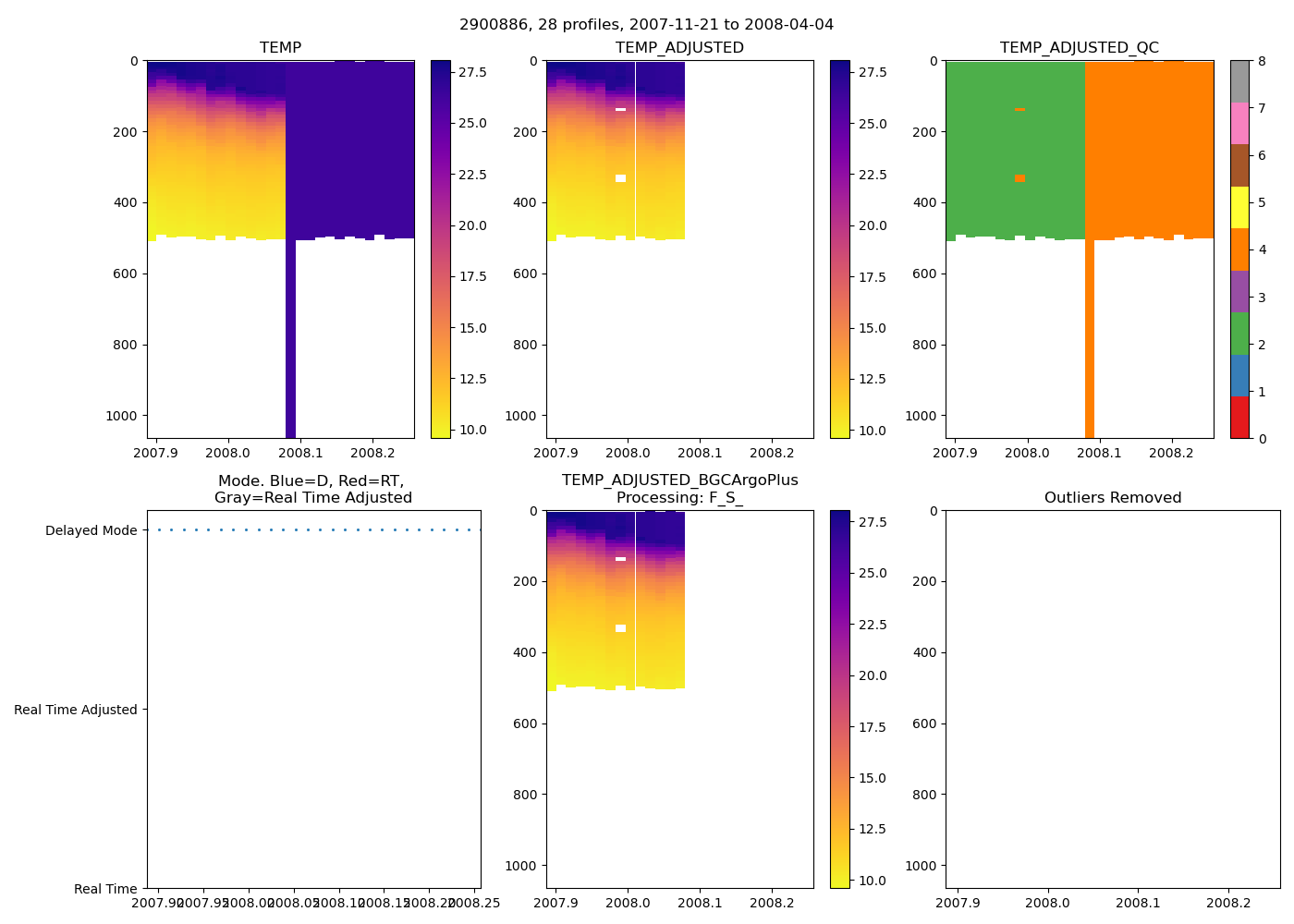
2900886: Argo INDIA (2007-11-21T00:41 to 2008-04-04T06:33)
28 profiles completed
Individual float file download: BGC_Argo_Plus_Global

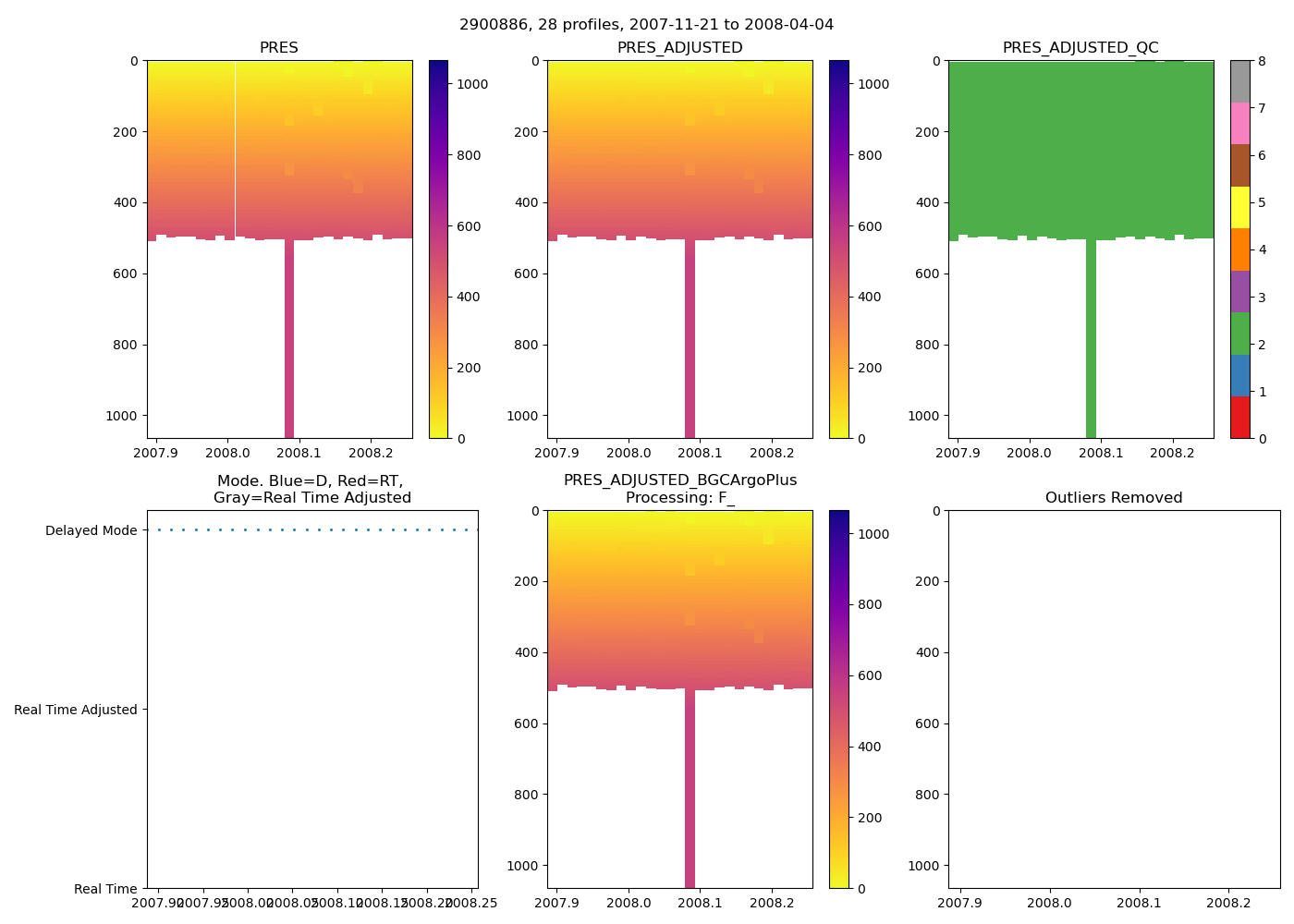
2900886: Argo INDIA (2007-11-21T00:41 to 2008-04-04T06:33)
28 profiles completed
Individual float file download: BGC_Argo_Plus_Global
