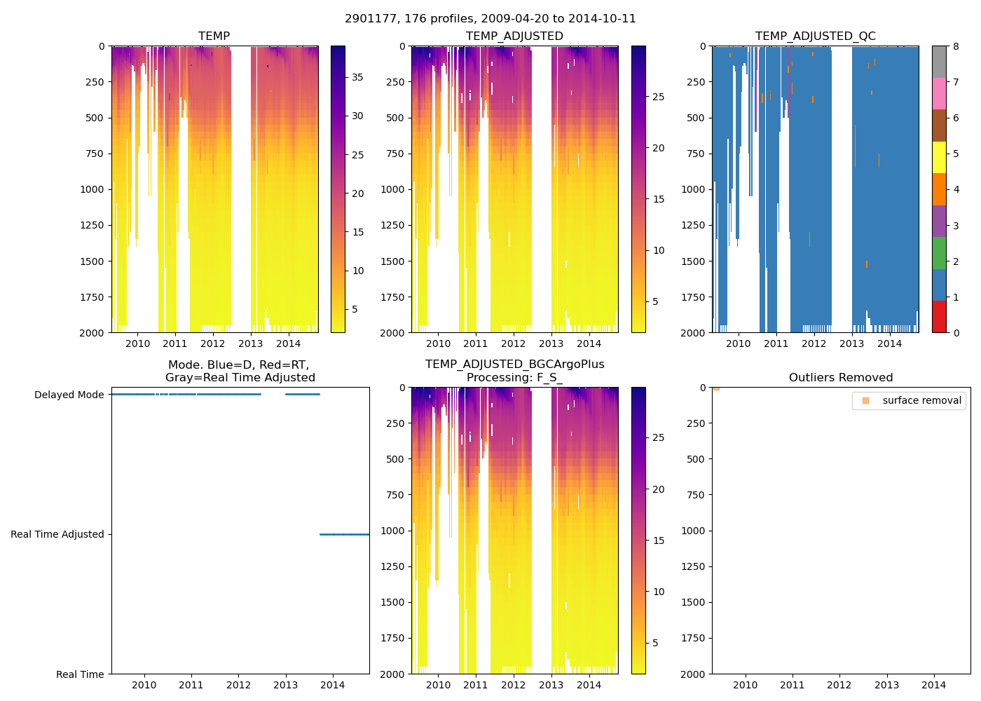
2901177: CHINA ARGO PROJECT (2009-04-20T20:16 to 2014-10-11T22:18)
176 profiles completed
Individual float file download: BGC_Argo_Plus_Global

2901177: CHINA ARGO PROJECT (2009-04-20T20:16 to 2014-10-11T22:18)
176 profiles completed
Individual float file download: BGC_Argo_Plus_Global
