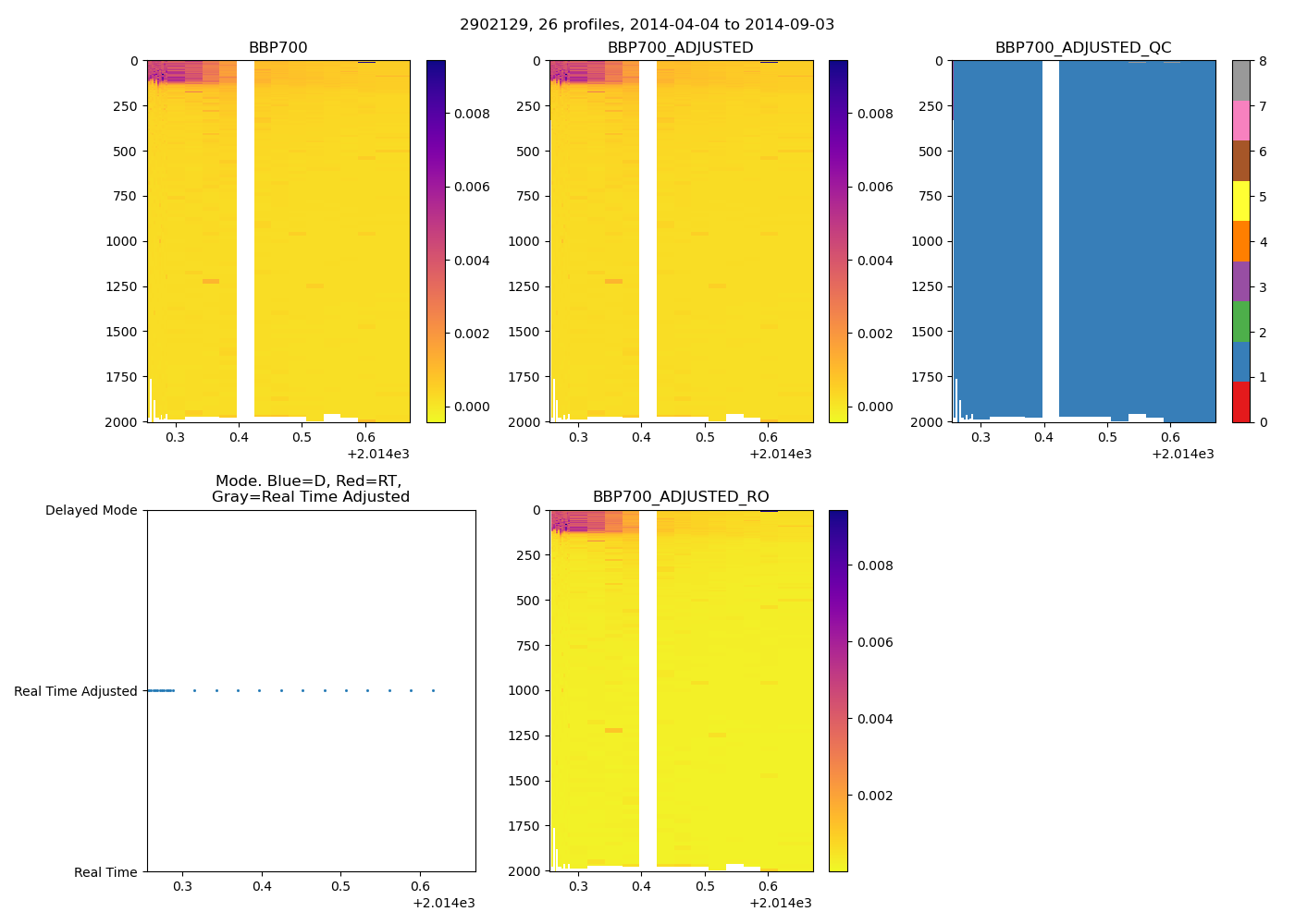
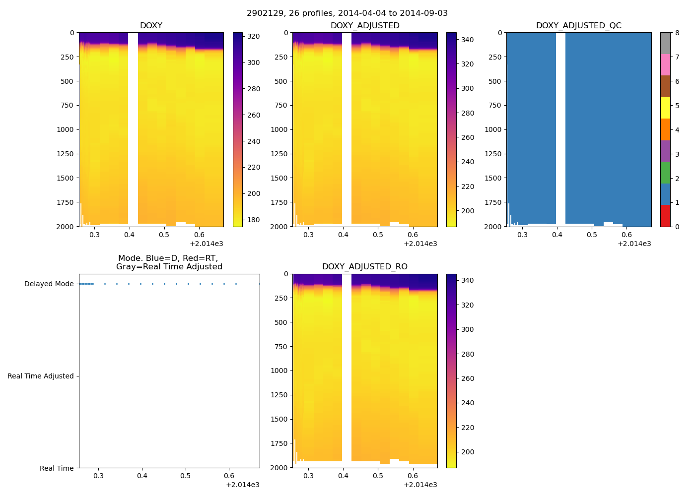
2902129: Indian ARGO (2014-04-04T12:00 to 2014-09-03T11:26)
26 profiles completed
Individual float file download: BGC_Argo_Plus_Global
img-png img-png img-png img-png img-png img-png img-png img-png