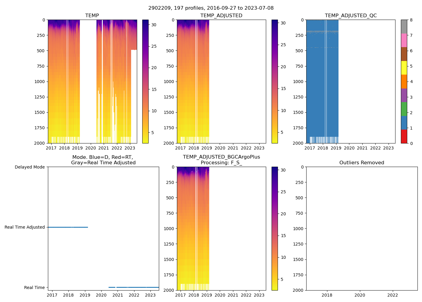
2902209: Argo INDIA (2016-09-27T13:45 to 2023-07-08T08:05)
197 profiles completed
Individual float file download: BGC_Argo_Plus_Global

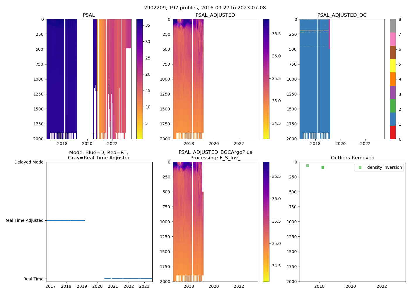
2902209: Argo INDIA (2016-09-27T13:45 to 2023-07-08T08:05)
197 profiles completed
Individual float file download: BGC_Argo_Plus_Global
