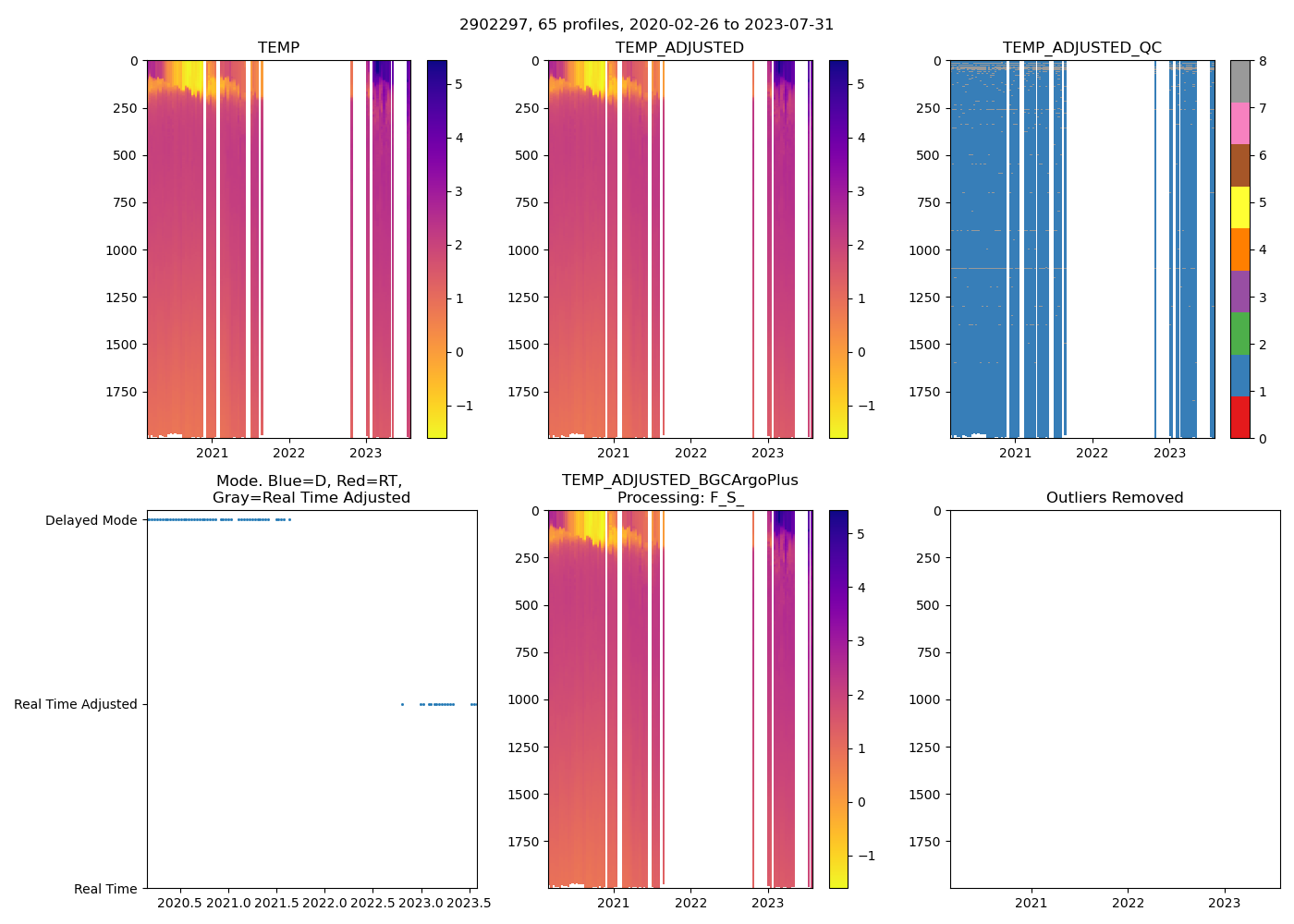
2902297: Argo INDIA (2020-02-26T18:27 to 2023-07-31T06:36)
65 profiles completed
Individual float file download: BGC_Argo_Plus_Global

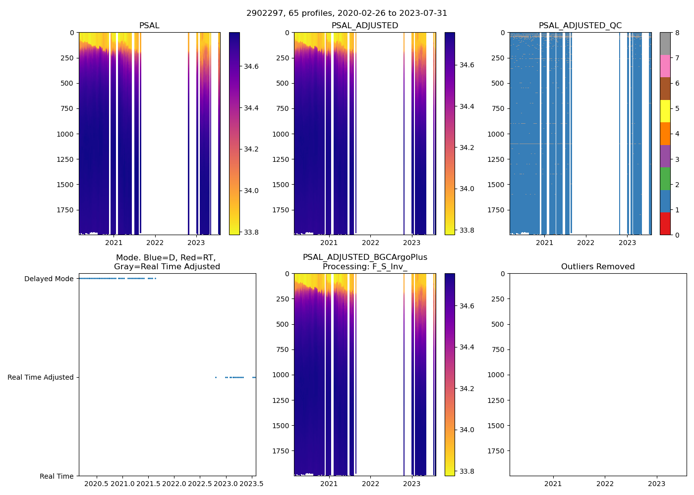
2902297: Argo INDIA (2020-02-26T18:27 to 2023-07-31T06:36)
65 profiles completed
Individual float file download: BGC_Argo_Plus_Global
