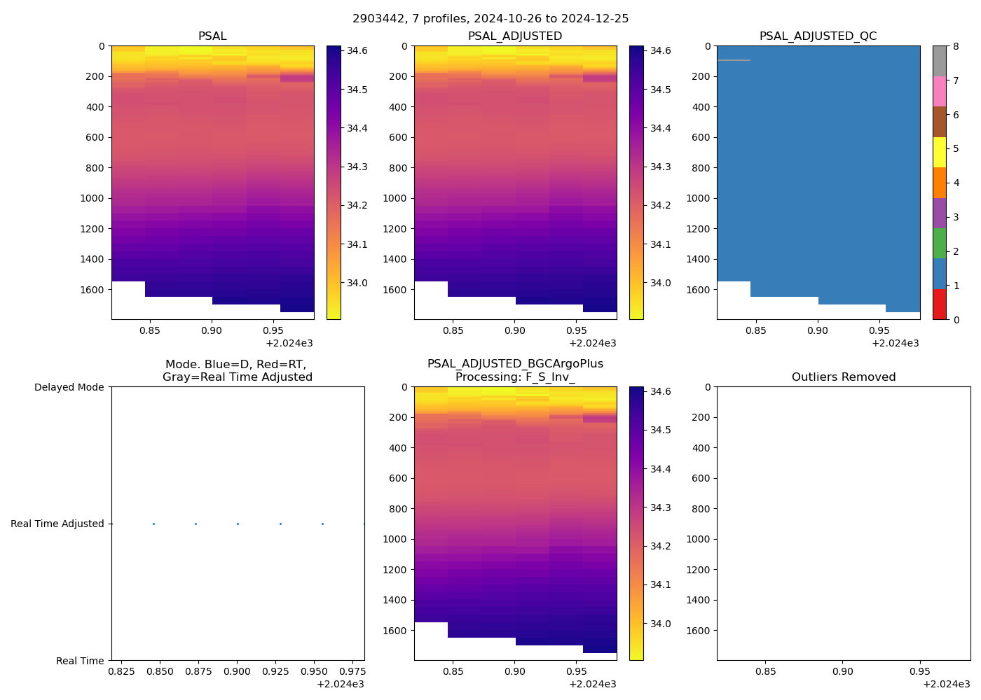
2903442: GO-BGC, WHOI (2024-10-26T07:36 to 2024-12-25T15:48)
7 profiles completed
Individual float file download: BGC_Argo_Plus_Global

2903442: GO-BGC, WHOI (2024-10-26T07:36 to 2024-12-25T15:48)
7 profiles completed
Individual float file download: BGC_Argo_Plus_Global
