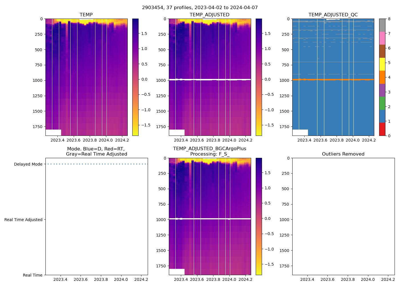
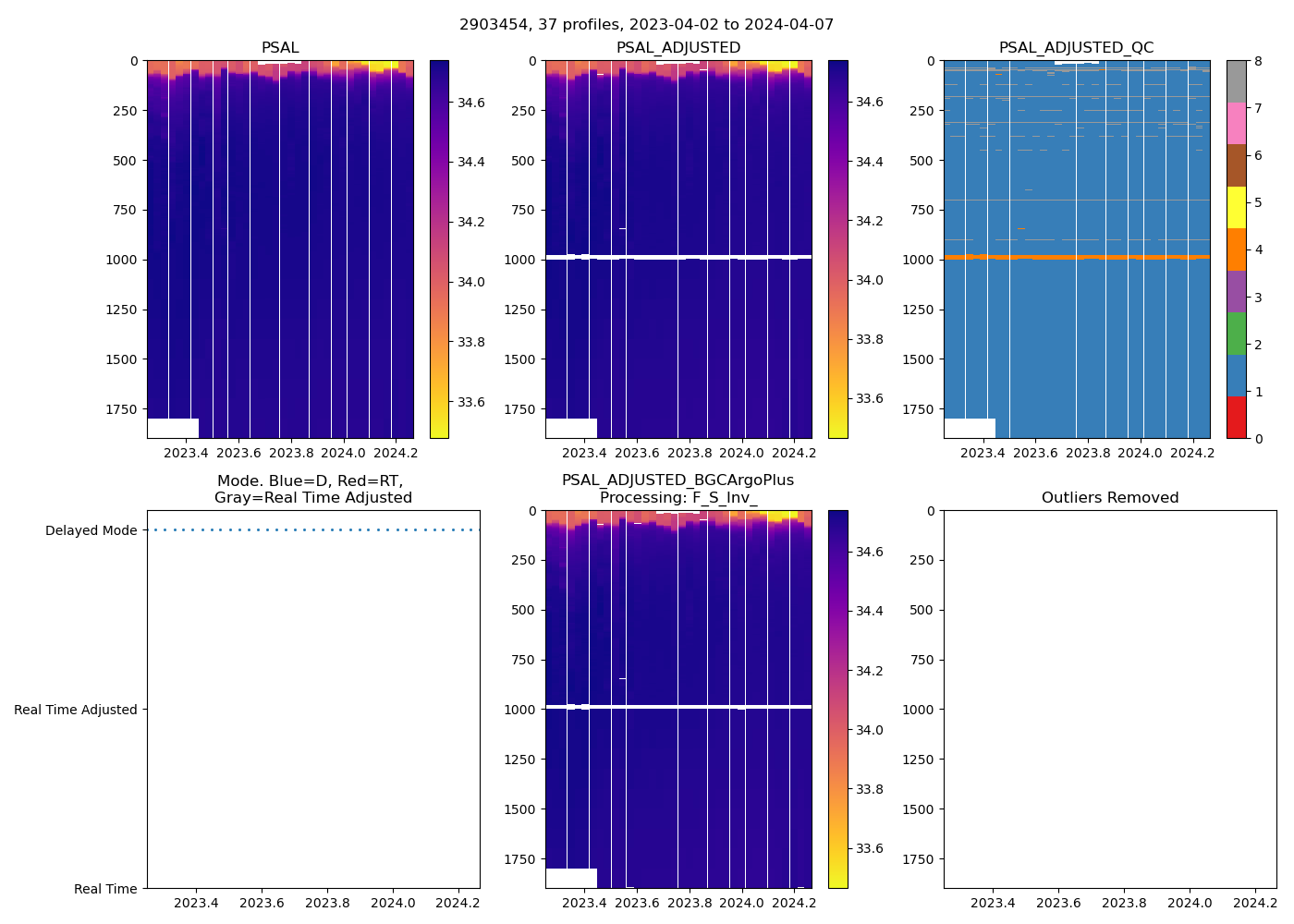
2903454: UW, SOCCOM (2023-04-02T07:28 to 2024-04-07T22:27)
37 profiles completed
Individual float file download: BGC_Argo_Plus_Global
img-png img-png img-png img-png img-png img-png img-png img-png img-png img-png