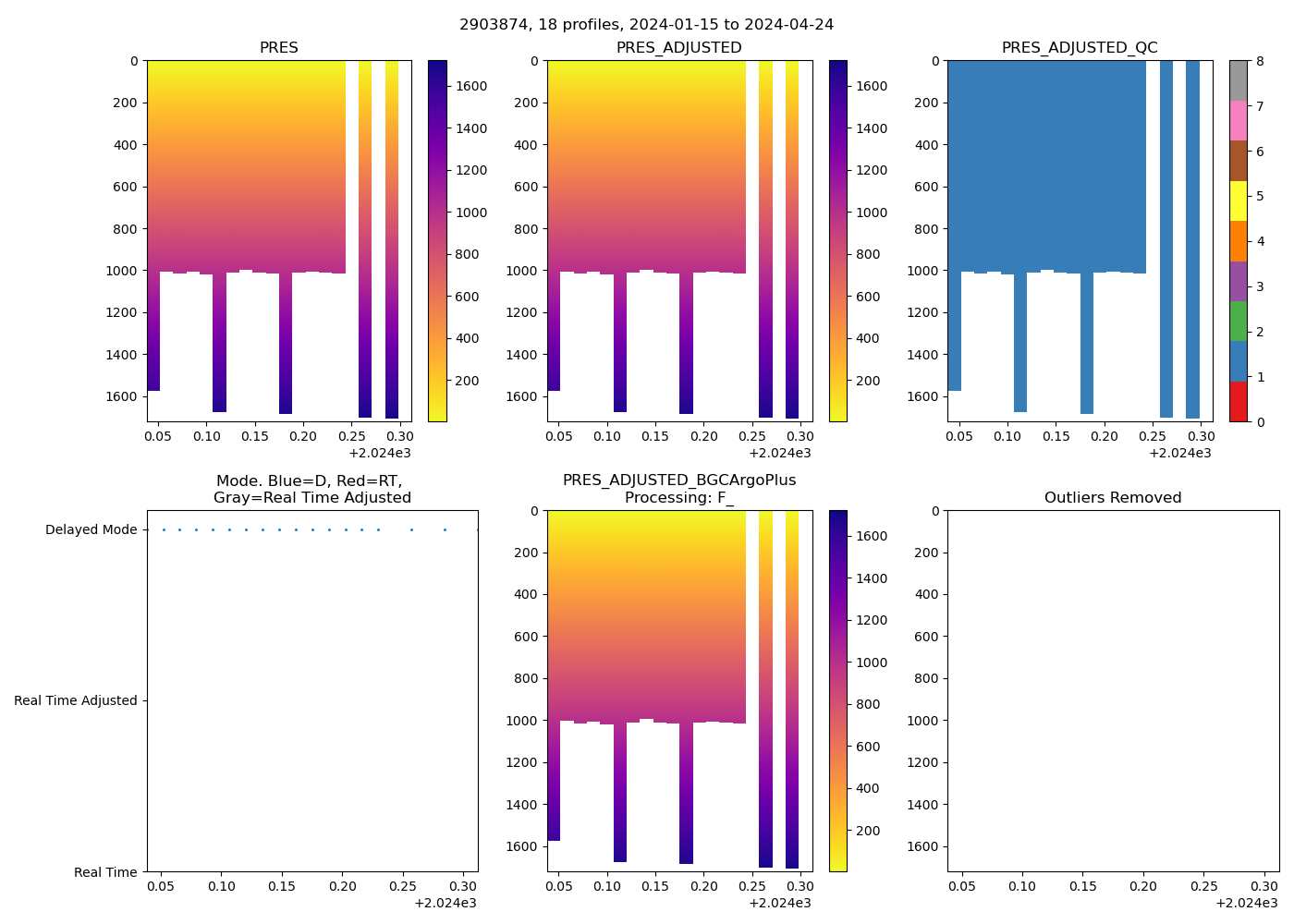
2903874: Argo-BSH (2024-01-15T04:03 to 2024-04-24T11:39)
18 profiles completed
Individual float file download: BGC_Argo_Plus_Global

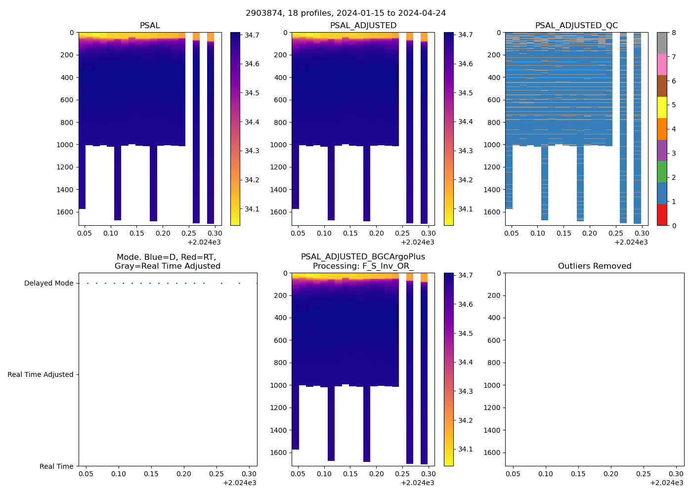
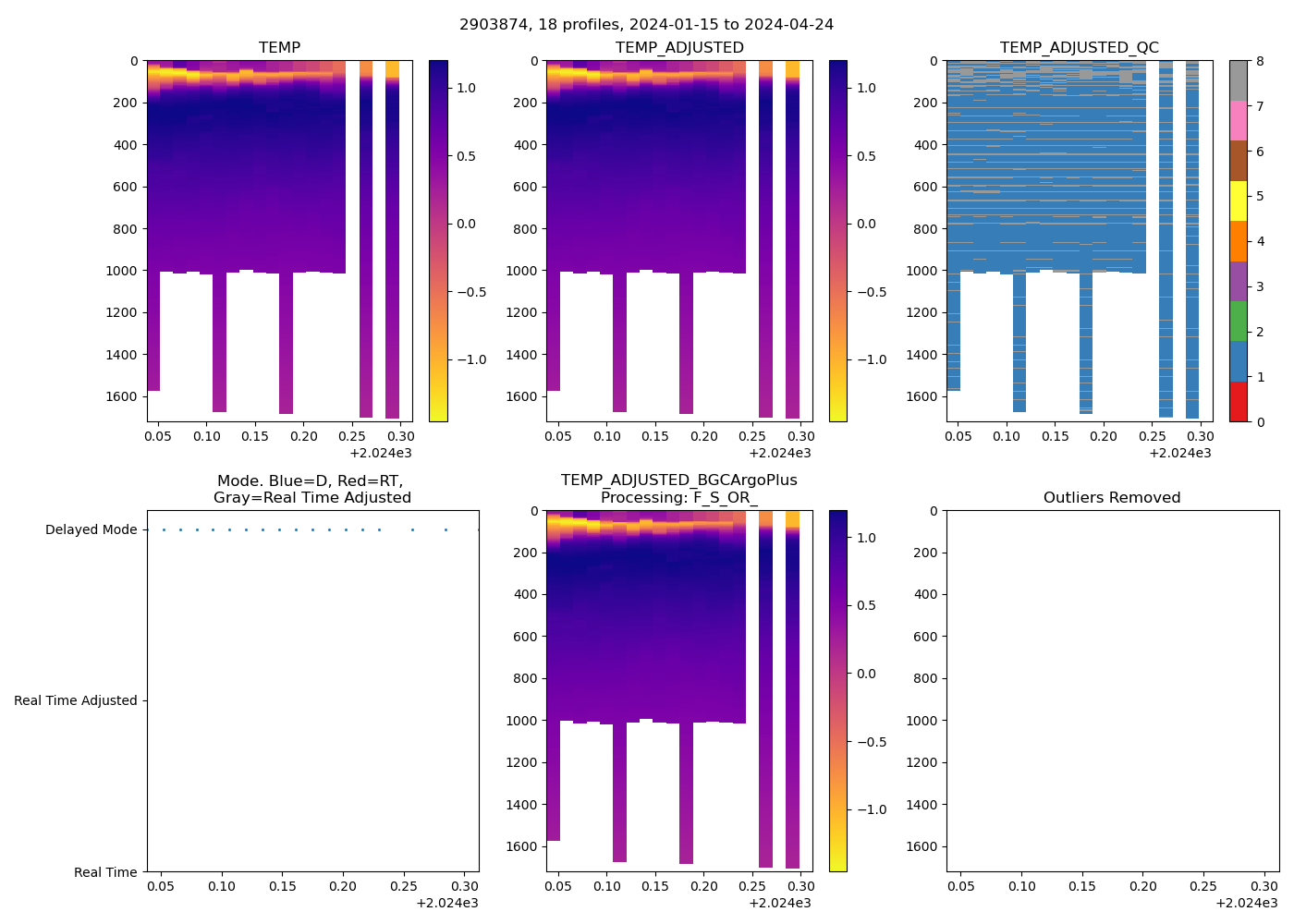
2903874: Argo-BSH (2024-01-15T04:03 to 2024-04-24T11:39)
18 profiles completed
Individual float file download: BGC_Argo_Plus_Global
