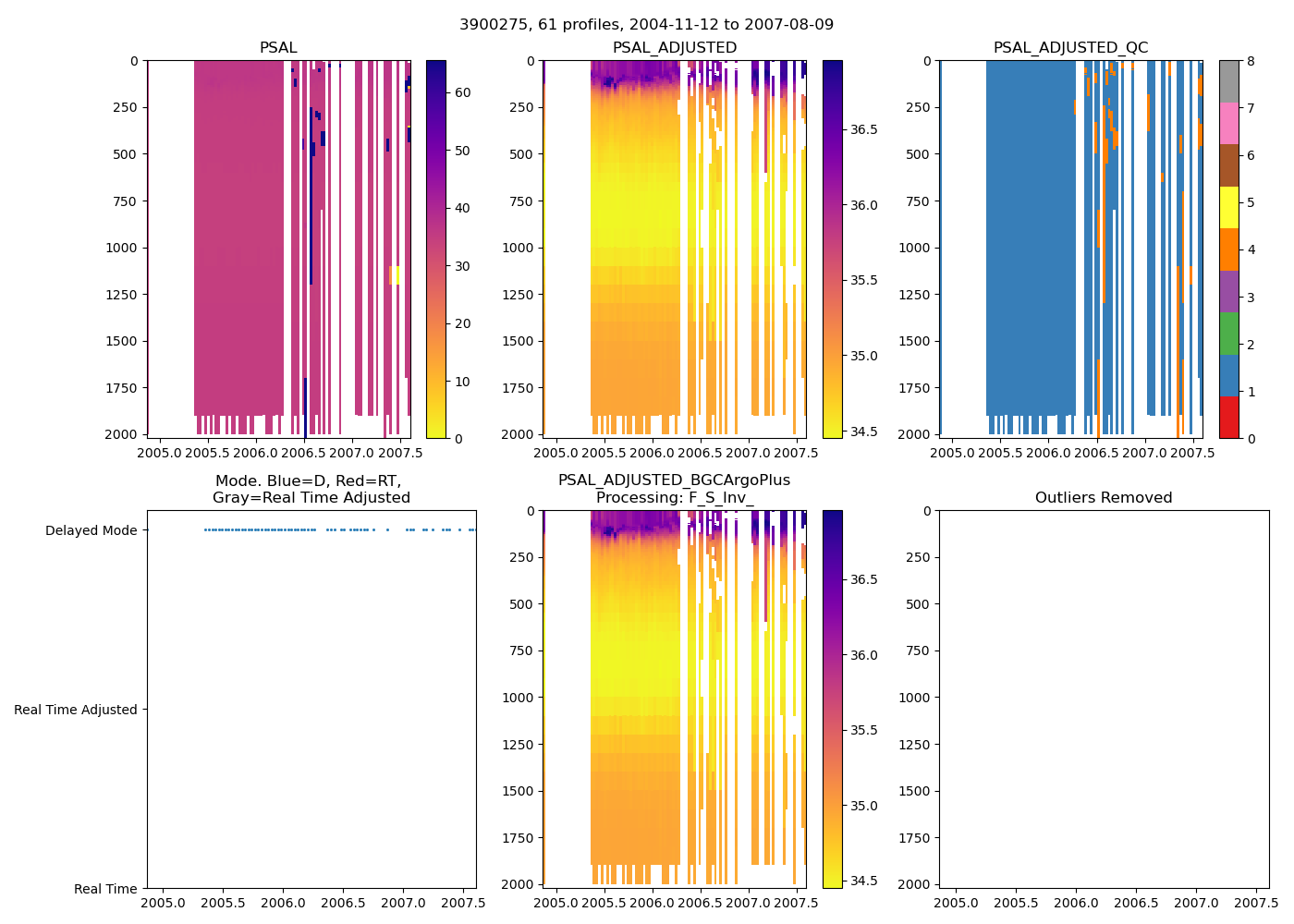
3900275: TROPAT (2004-11-12T08:36 to 2007-08-09T08:05)
61 profiles completed
Individual float file download: BGC_Argo_Plus_Global

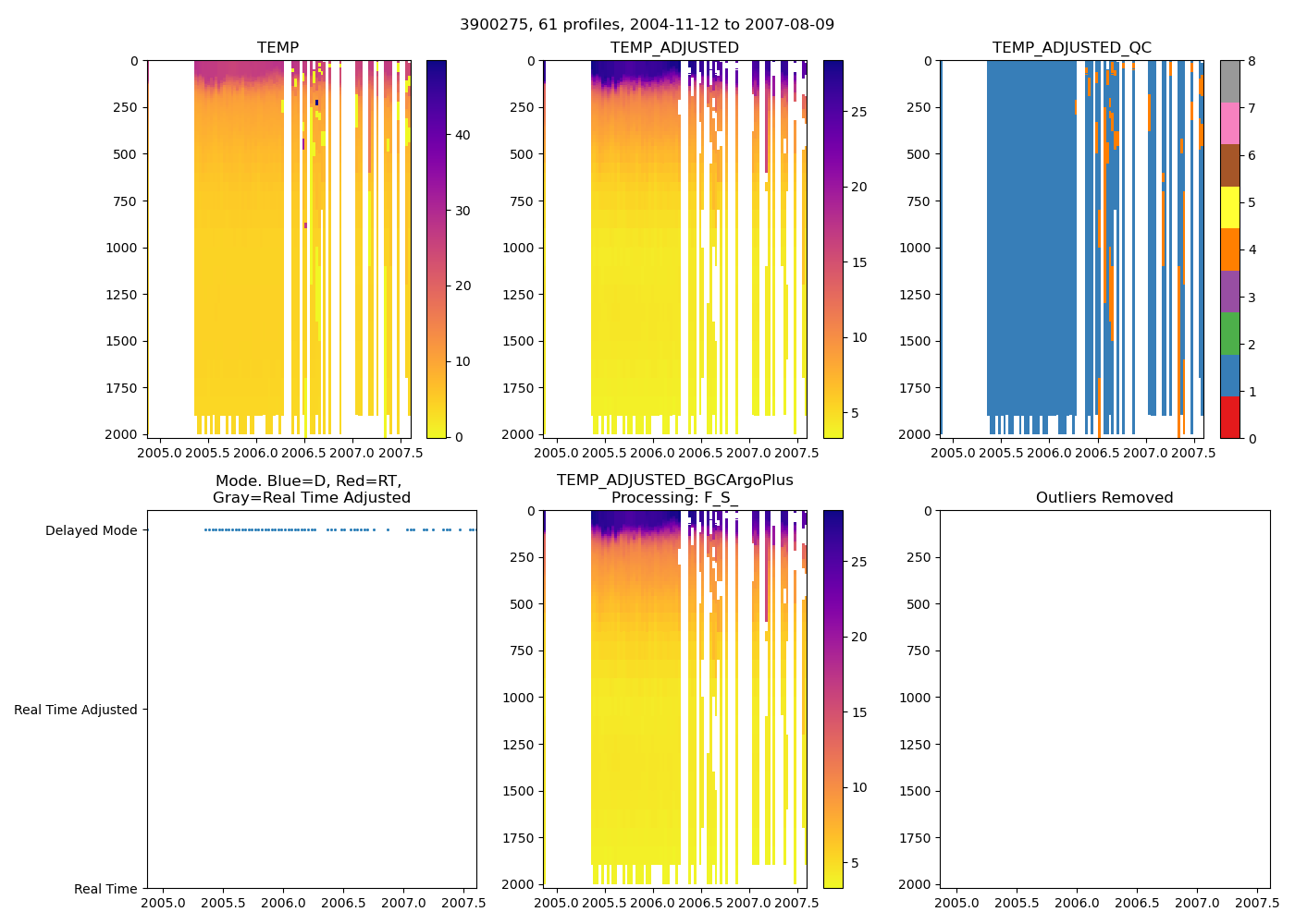
3900275: TROPAT (2004-11-12T08:36 to 2007-08-09T08:05)
61 profiles completed
Individual float file download: BGC_Argo_Plus_Global
