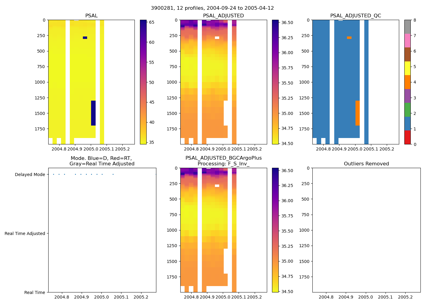
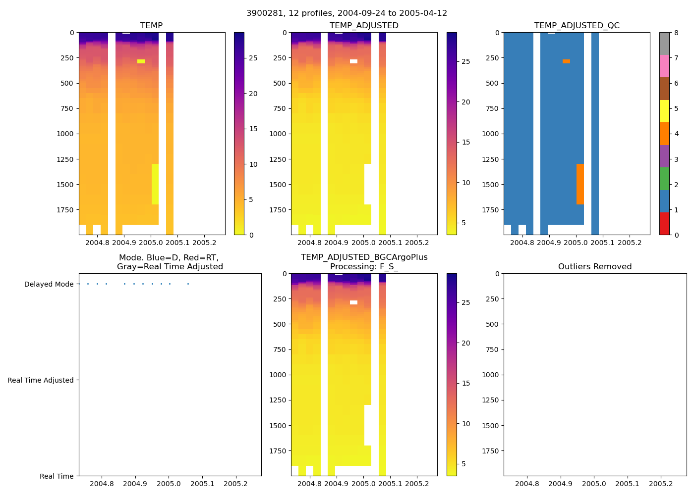
3900281: Euro-Argo (2004-09-24T02:03 to 2005-04-12T00:57)
12 profiles completed
Individual float file download: BGC_Argo_Plus_Global

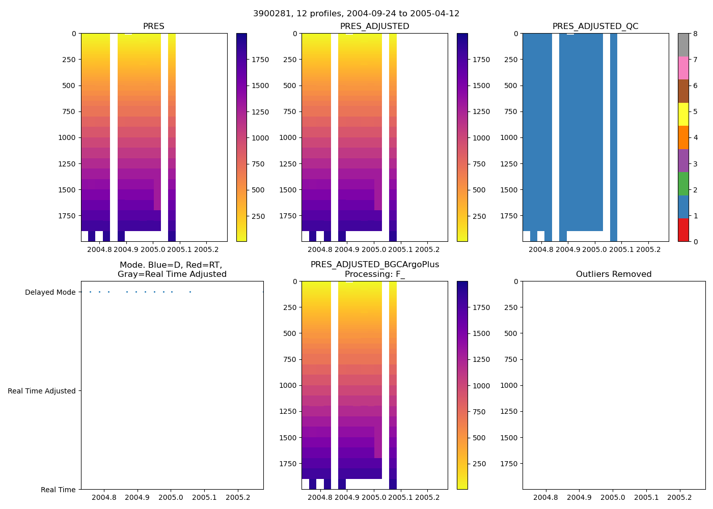
3900281: Euro-Argo (2004-09-24T02:03 to 2005-04-12T00:57)
12 profiles completed
Individual float file download: BGC_Argo_Plus_Global
