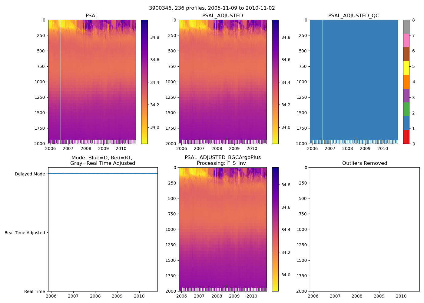
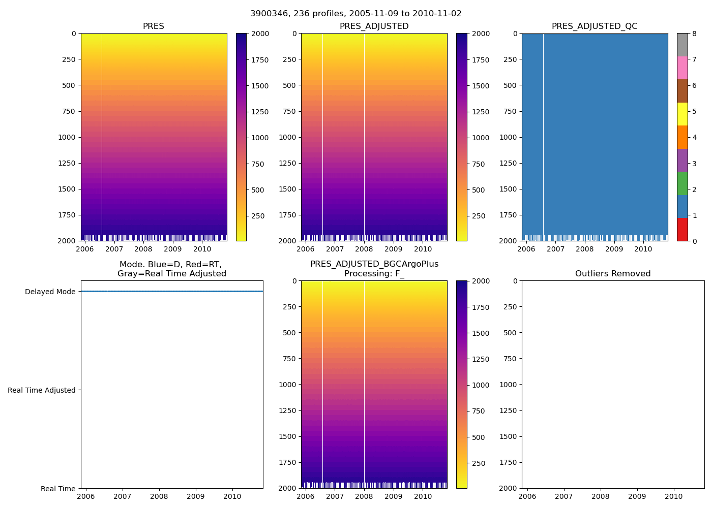
3900346: US ARGO PROJECT (2005-11-09T03:03 to 2010-11-02T07:22)
236 profiles completed
Individual float file download: BGC_Argo_Plus_Global
img-png img-png img-png img-png img-png