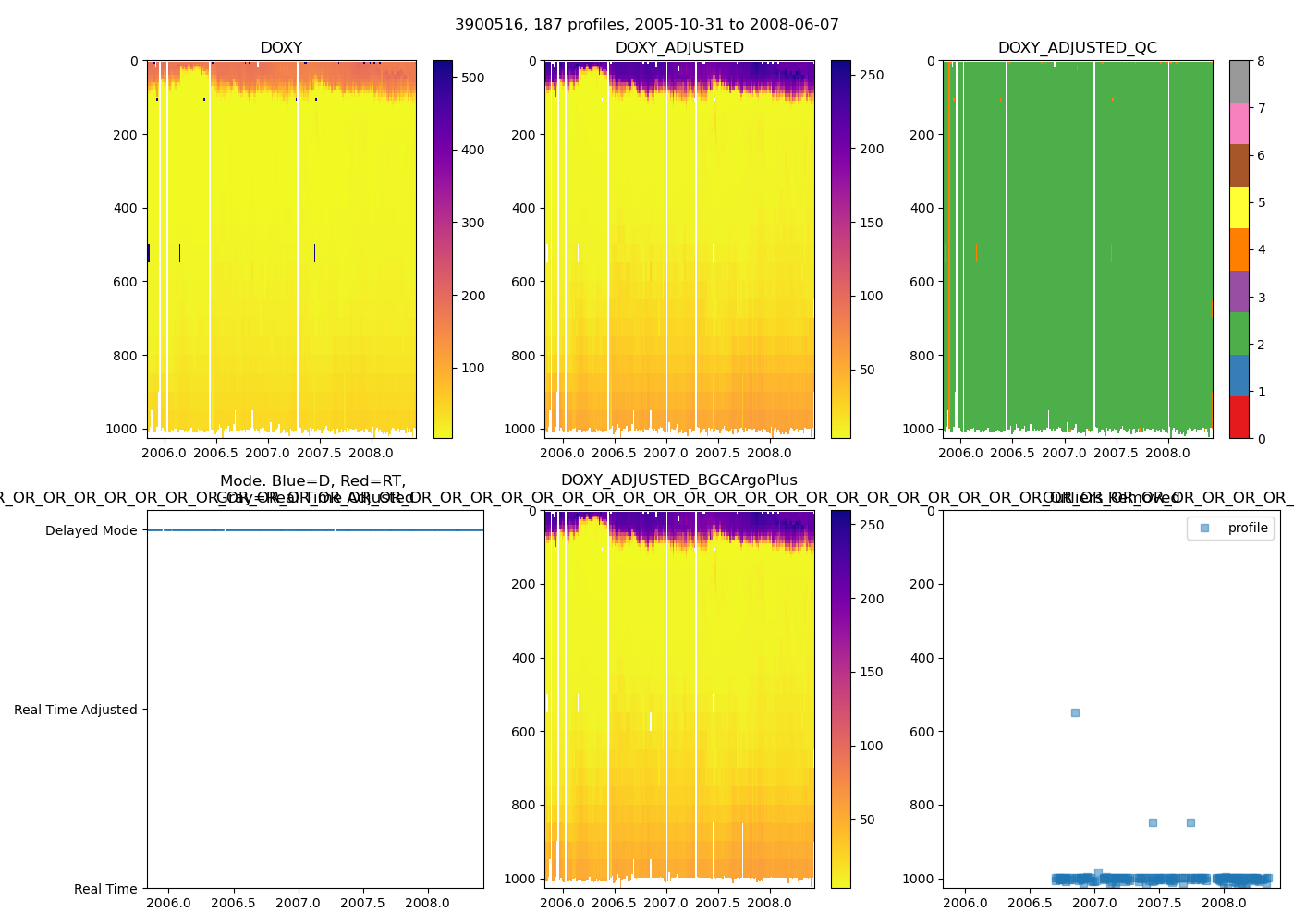
3900516: ARGO_CHILE (2005-10-31T07:51 to 2008-06-07T08:00)
187 profiles completed
Individual float file download: BGC_Argo_Plus_Global

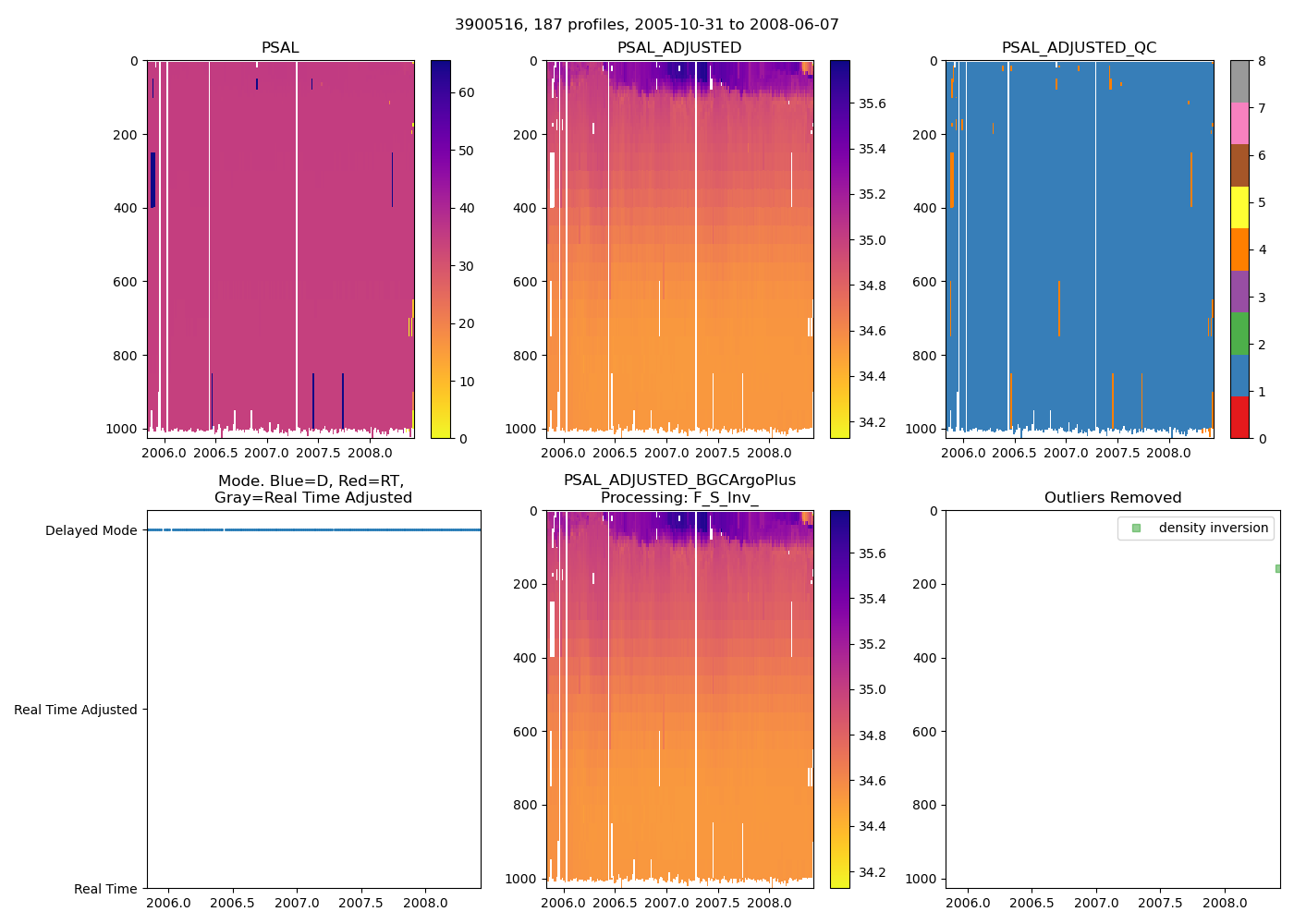
3900516: ARGO_CHILE (2005-10-31T07:51 to 2008-06-07T08:00)
187 profiles completed
Individual float file download: BGC_Argo_Plus_Global
