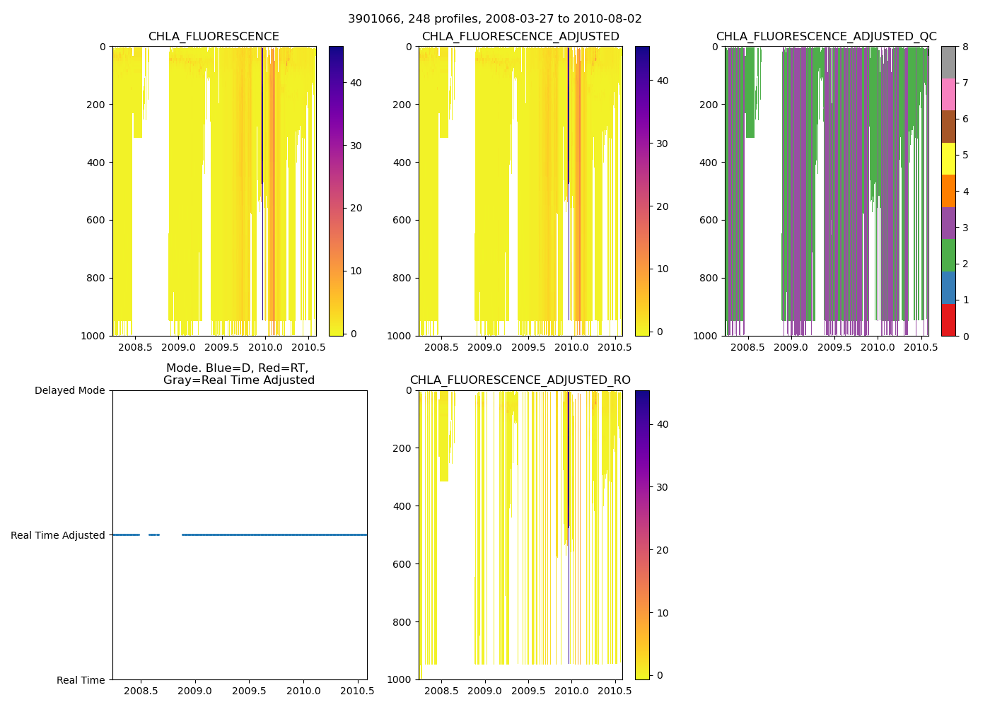
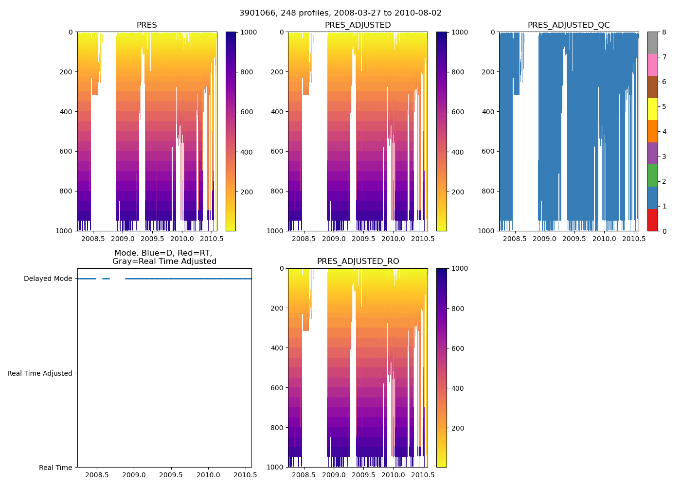
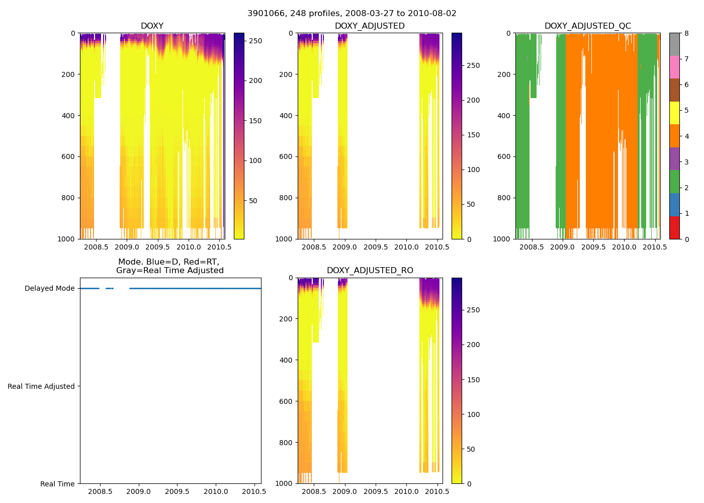
3901066: ARGO_CHILE (2008-03-27T01:54 to 2010-08-02T06:44)
248 profiles completed
Individual float file download: BGC_Argo_Plus_Global
img-png img-png img-png img-png img-png img-png img-png img-png img-png img-png img-png img-png img-png img-png img-png img-png img-png