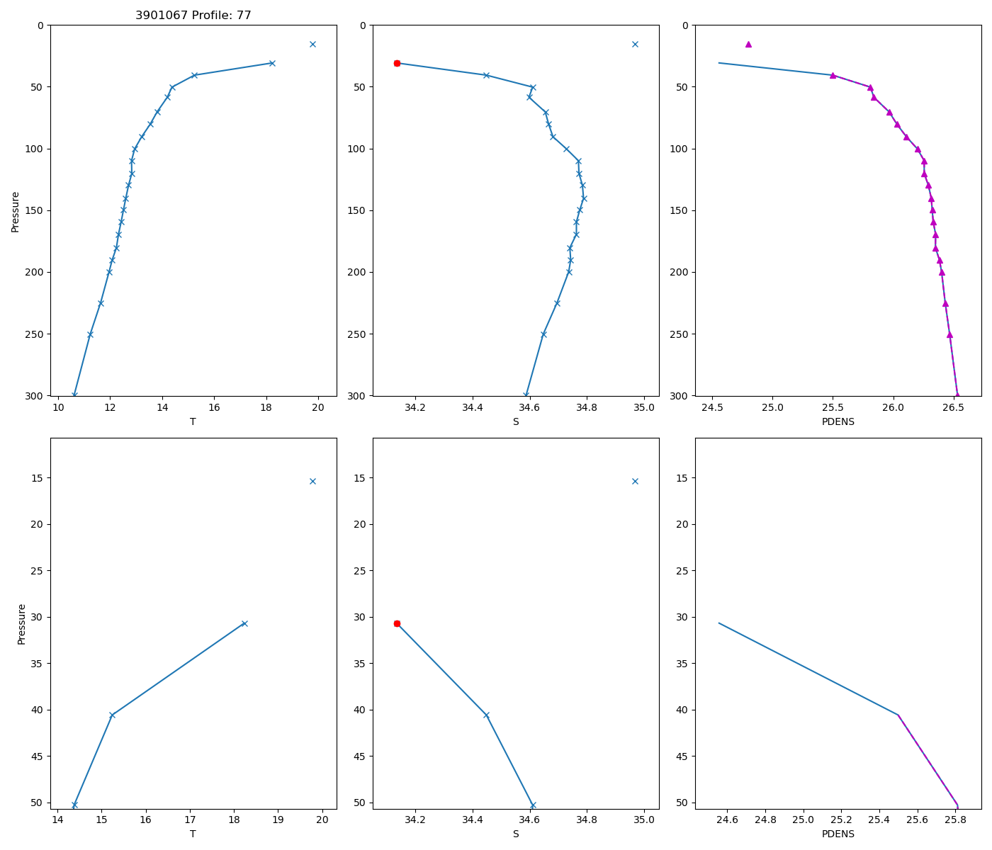
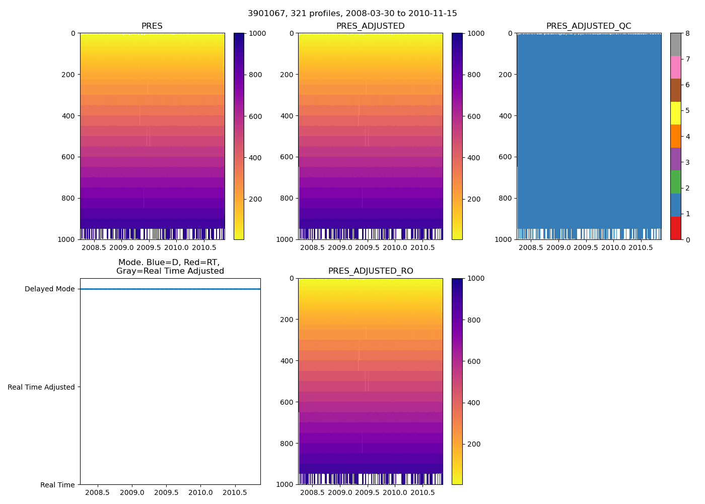
3901067: ARGO_CHILE (2008-03-30T03:37 to 2010-11-15T08:29)
321 profiles completed
Individual float file download: BGC_Argo_Plus_Global

3901067: ARGO_CHILE (2008-03-30T03:37 to 2010-11-15T08:29)
321 profiles completed
Individual float file download: BGC_Argo_Plus_Global
