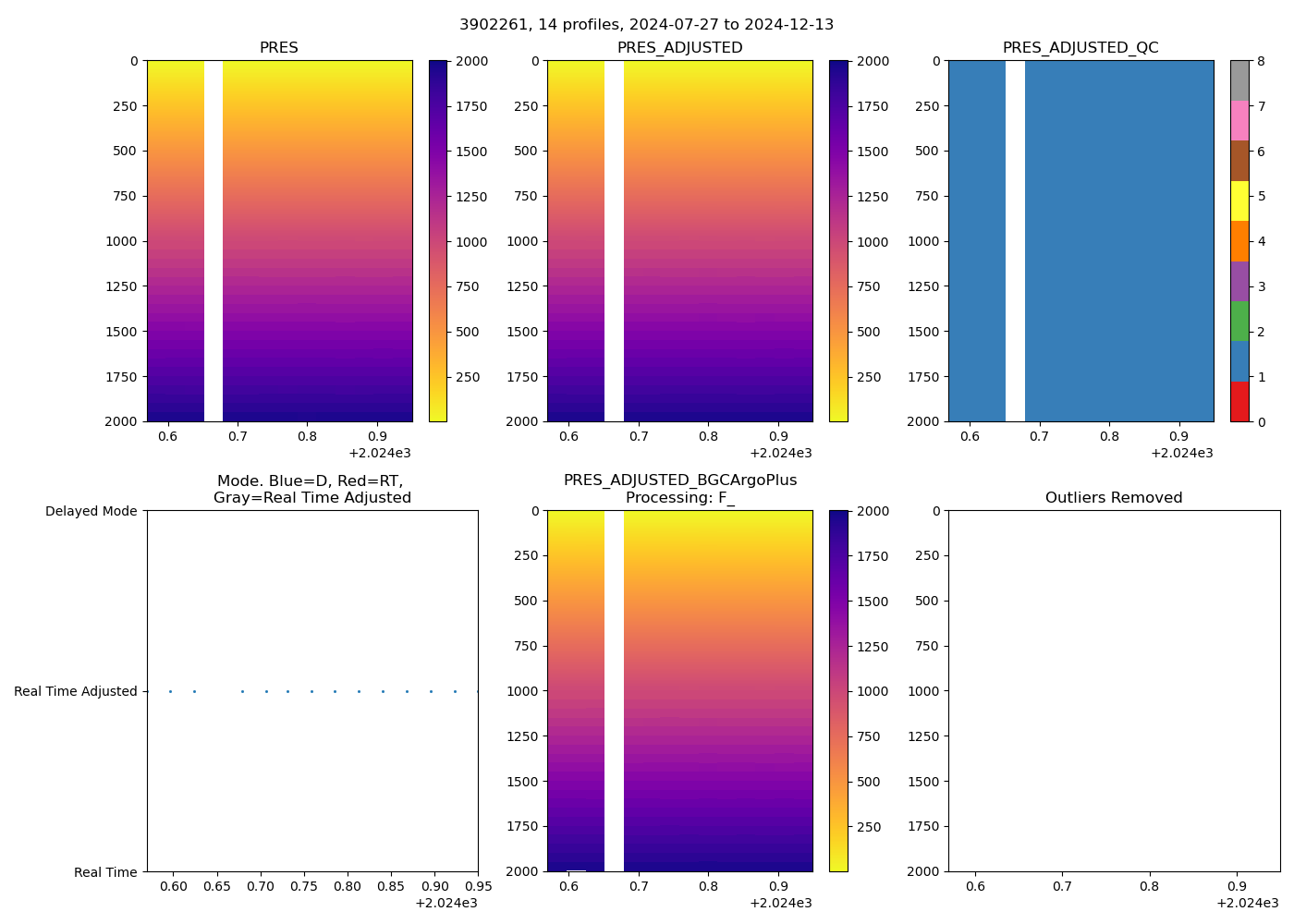
3902261: GO-BGC, WHOI (2024-07-27T09:08 to 2024-12-13T20:17)
14 profiles completed
Individual float file download: BGC_Argo_Plus_Global

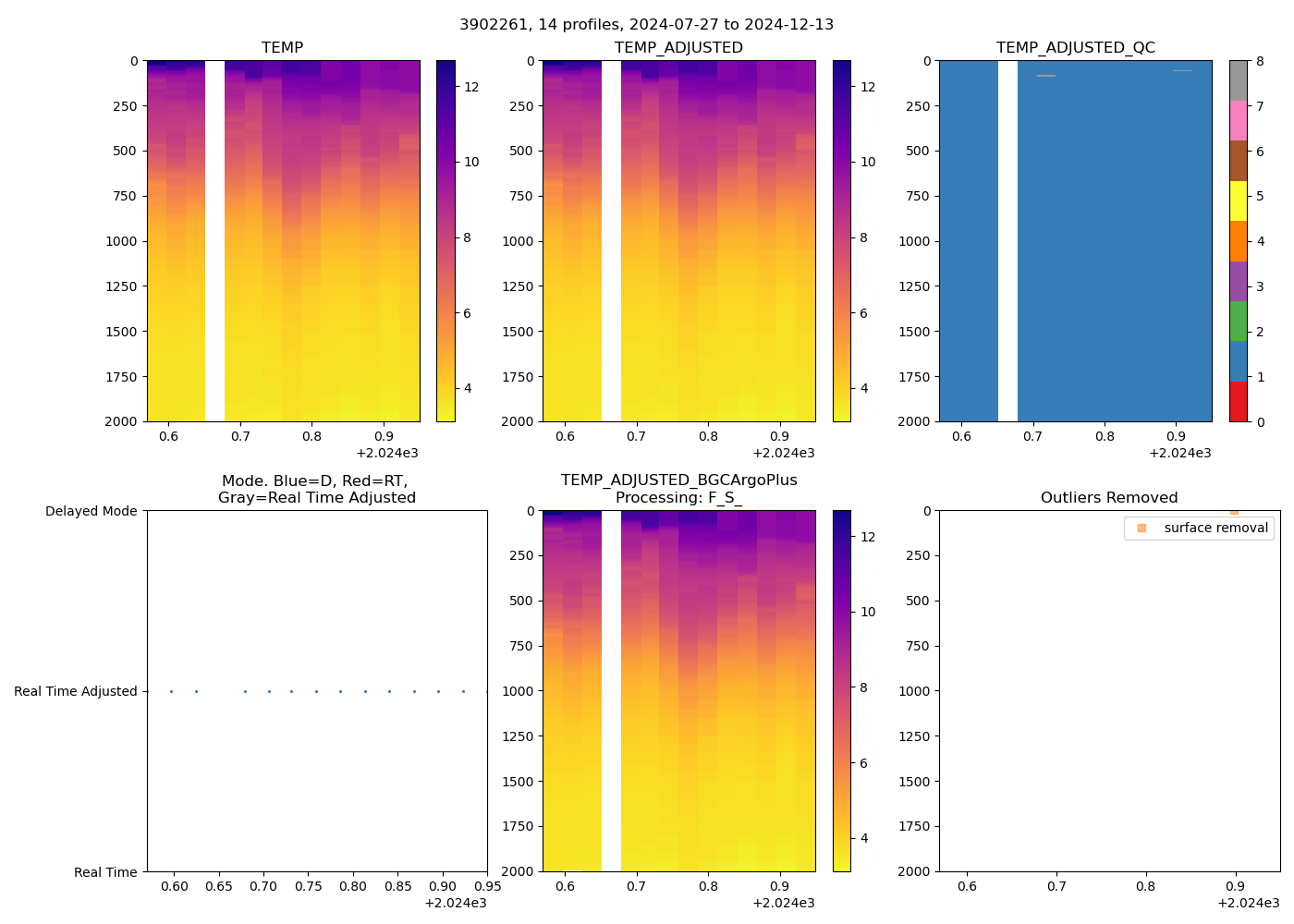
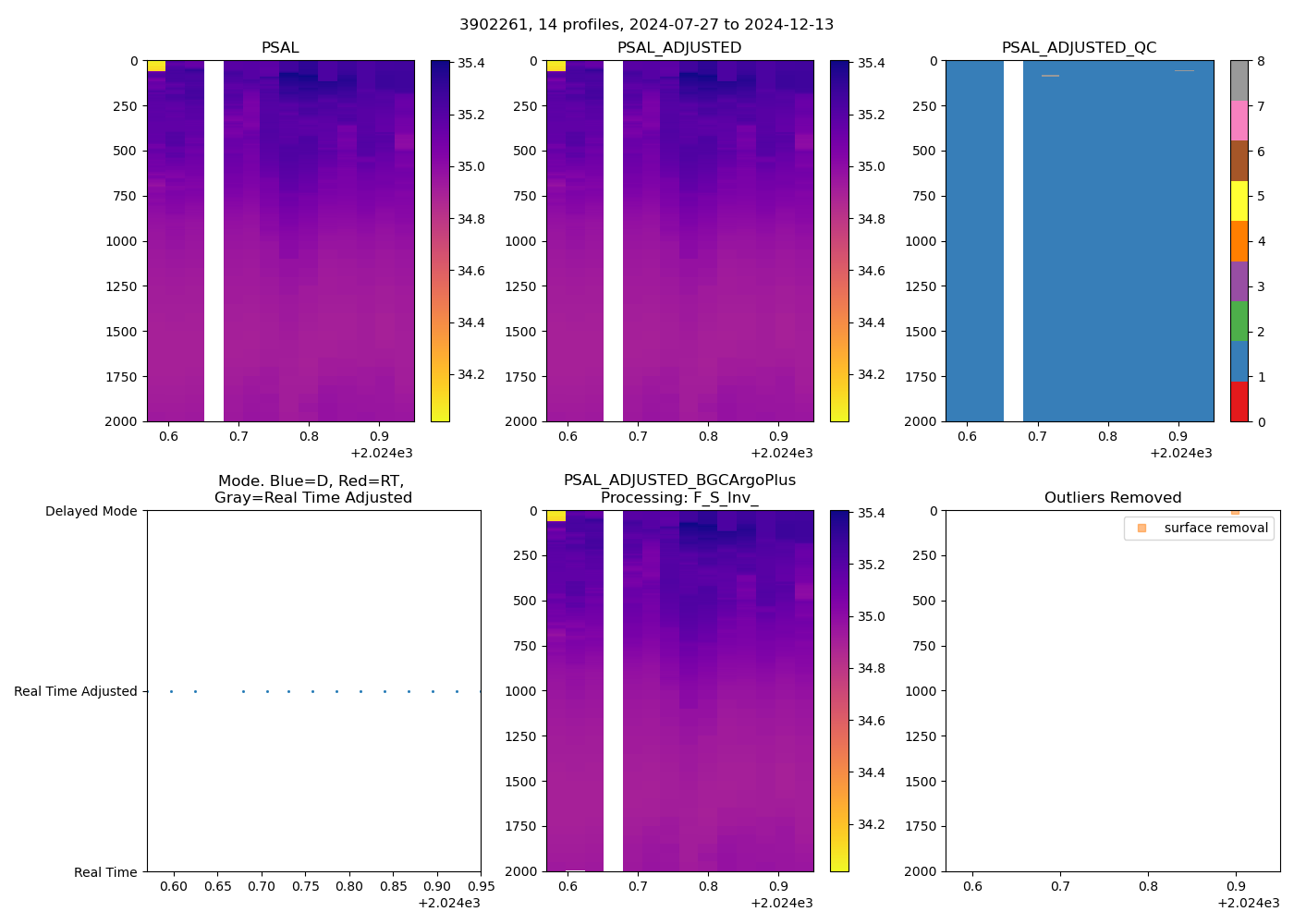
3902261: GO-BGC, WHOI (2024-07-27T09:08 to 2024-12-13T20:17)
14 profiles completed
Individual float file download: BGC_Argo_Plus_Global
