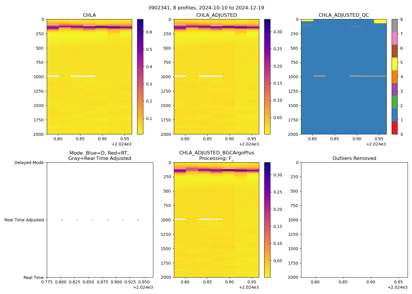
3902341: GO-BGC, WHOI (2024-10-10T19:45 to 2024-12-19T20:45)
8 profiles completed
Individual float file download: BGC_Argo_Plus_Global

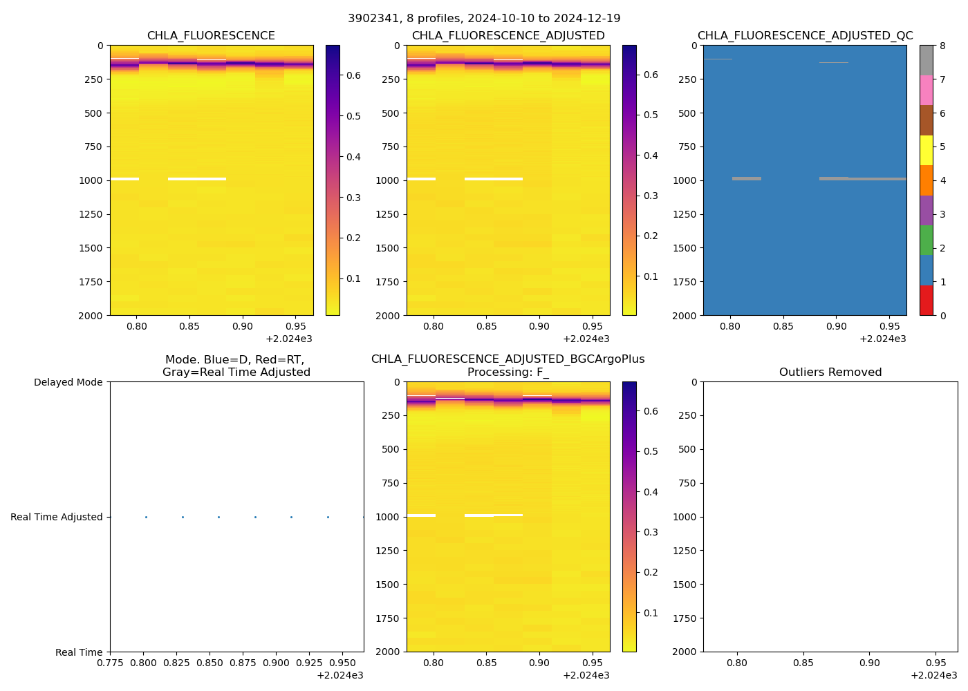
3902341: GO-BGC, WHOI (2024-10-10T19:45 to 2024-12-19T20:45)
8 profiles completed
Individual float file download: BGC_Argo_Plus_Global
