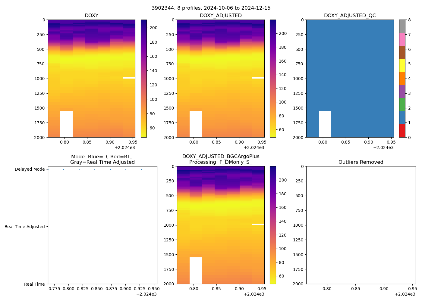
3902344: GO-BGC, WHOI (2024-10-06T09:54 to 2024-12-15T11:03)
8 profiles completed
Individual float file download: BGC_Argo_Plus_Global

3902344: GO-BGC, WHOI (2024-10-06T09:54 to 2024-12-15T11:03)
8 profiles completed
Individual float file download: BGC_Argo_Plus_Global
