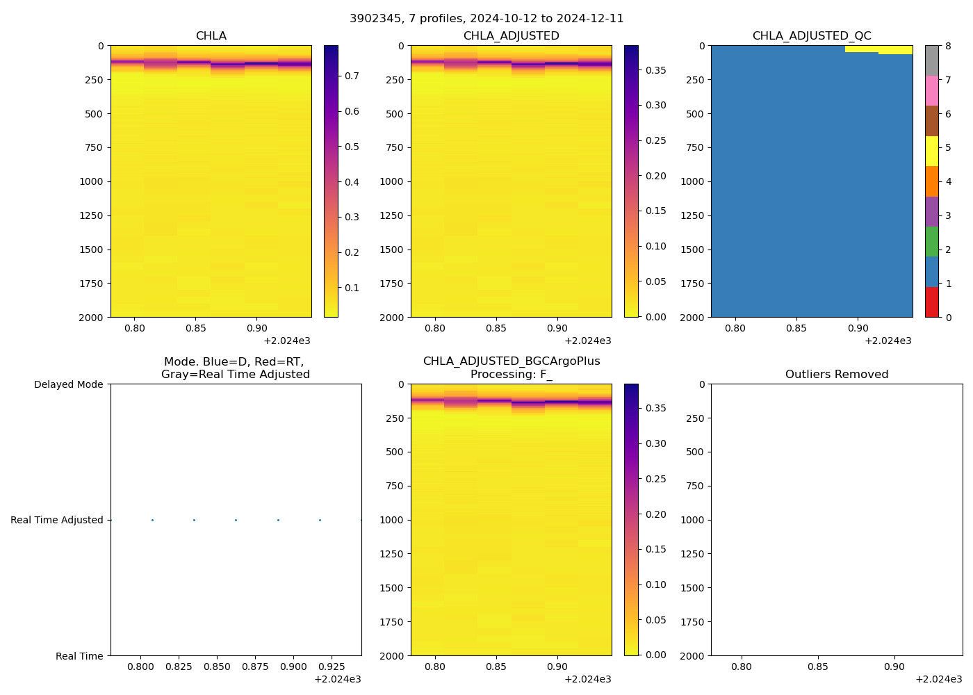
3902345: GO-BGC, WHOI (2024-10-12T11:46 to 2024-12-11T05:06)
7 profiles completed
Individual float file download: BGC_Argo_Plus_Global
img-png img-png img-png img-png img-png img-png img-png img-png img-png img-png img-png img-png