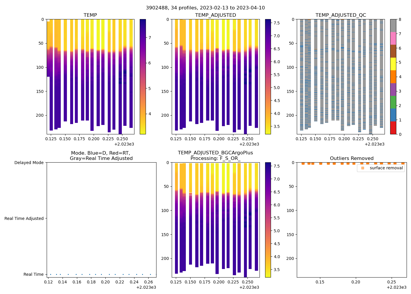
3902488: C-SCOPE (2023-02-13T09:37 to 2023-04-10T22:43)
34 profiles completed
Individual float file download: BGC_Argo_Plus_Global

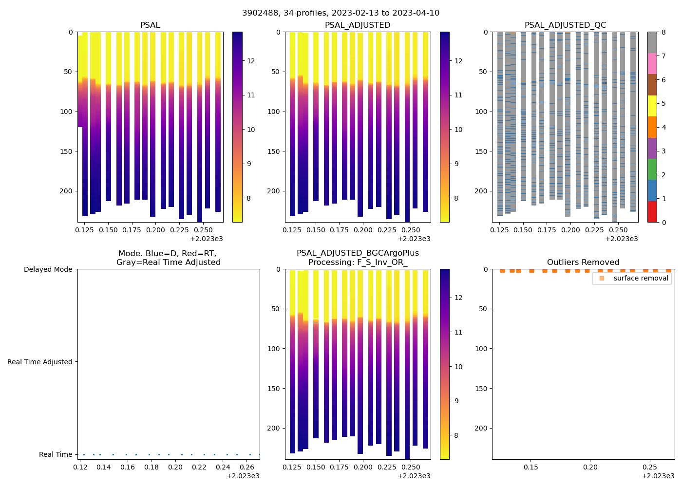
3902488: C-SCOPE (2023-02-13T09:37 to 2023-04-10T22:43)
34 profiles completed
Individual float file download: BGC_Argo_Plus_Global
