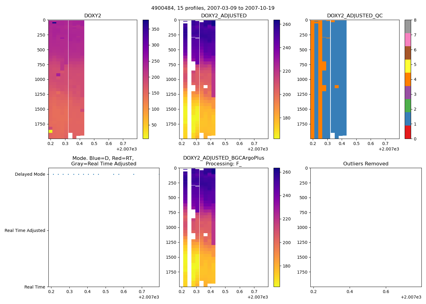
4900484: US ARGO PROJECT (2007-03-09T04:54 to 2007-10-19T00:15)
15 profiles completed
Individual float file download: BGC_Argo_Plus_Global

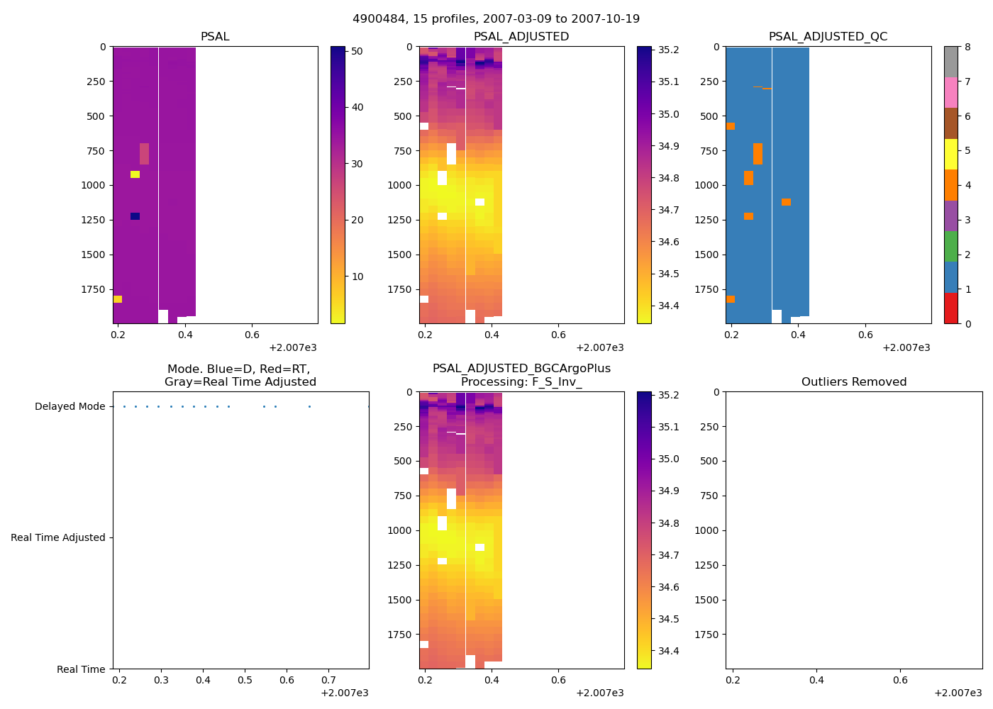
4900484: US ARGO PROJECT (2007-03-09T04:54 to 2007-10-19T00:15)
15 profiles completed
Individual float file download: BGC_Argo_Plus_Global
