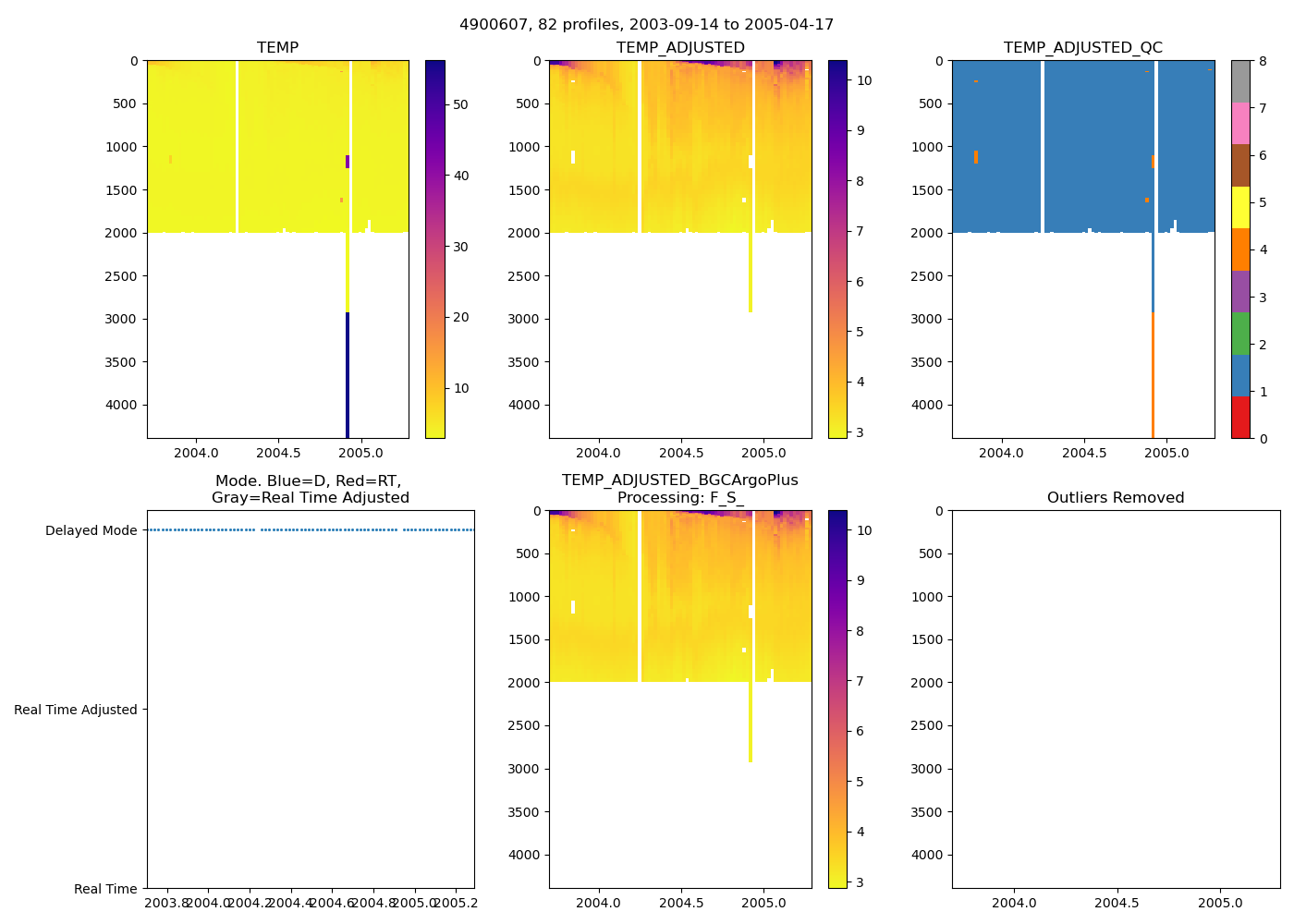
4900607: Euro-Argo (2003-09-14T16:35 to 2005-04-17T14:18)
82 profiles completed
Individual float file download: BGC_Argo_Plus_Global

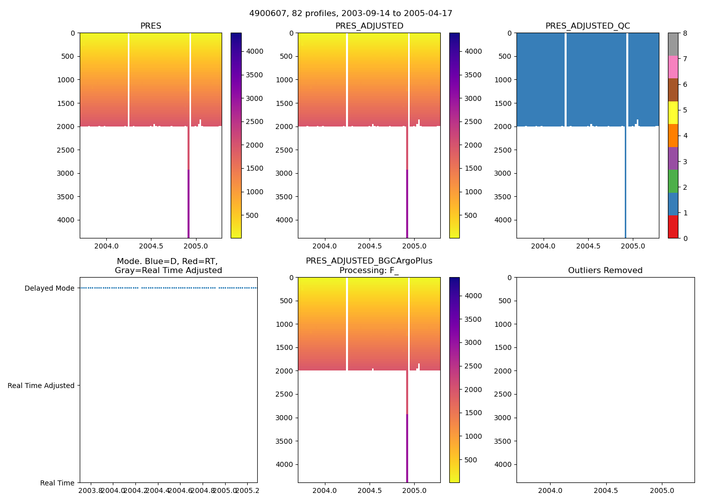
4900607: Euro-Argo (2003-09-14T16:35 to 2005-04-17T14:18)
82 profiles completed
Individual float file download: BGC_Argo_Plus_Global
