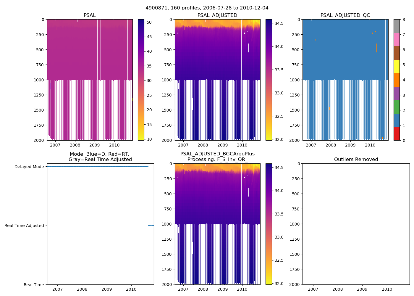
4900871: Argo Canada (2006-07-28T02:35 to 2010-12-04T00:32)
160 profiles completed
Individual float file download: BGC_Argo_Plus_Global
img-png img-png img-png img-png img-png