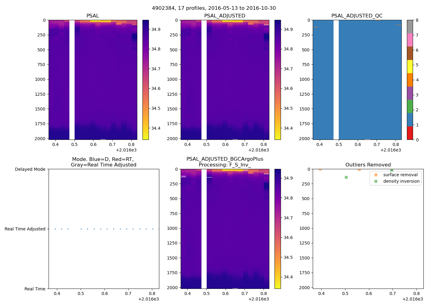
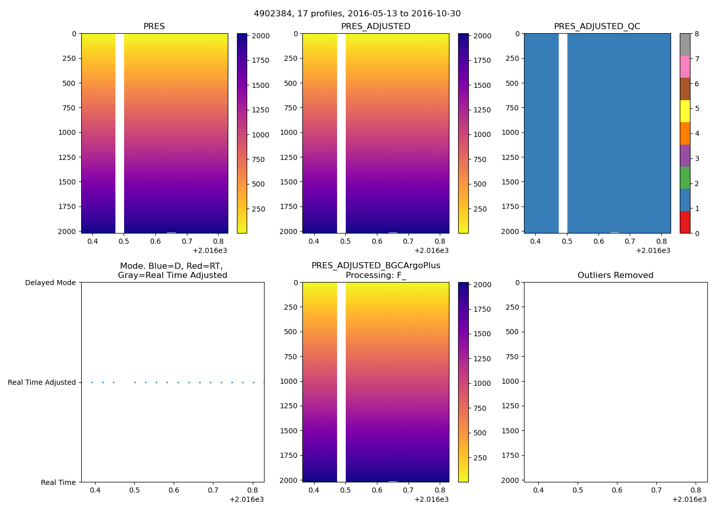
4902384: Argo Canada (2016-05-13T21:27 to 2016-10-30T08:52)
17 profiles completed
Individual float file download: BGC_Argo_Plus_Global

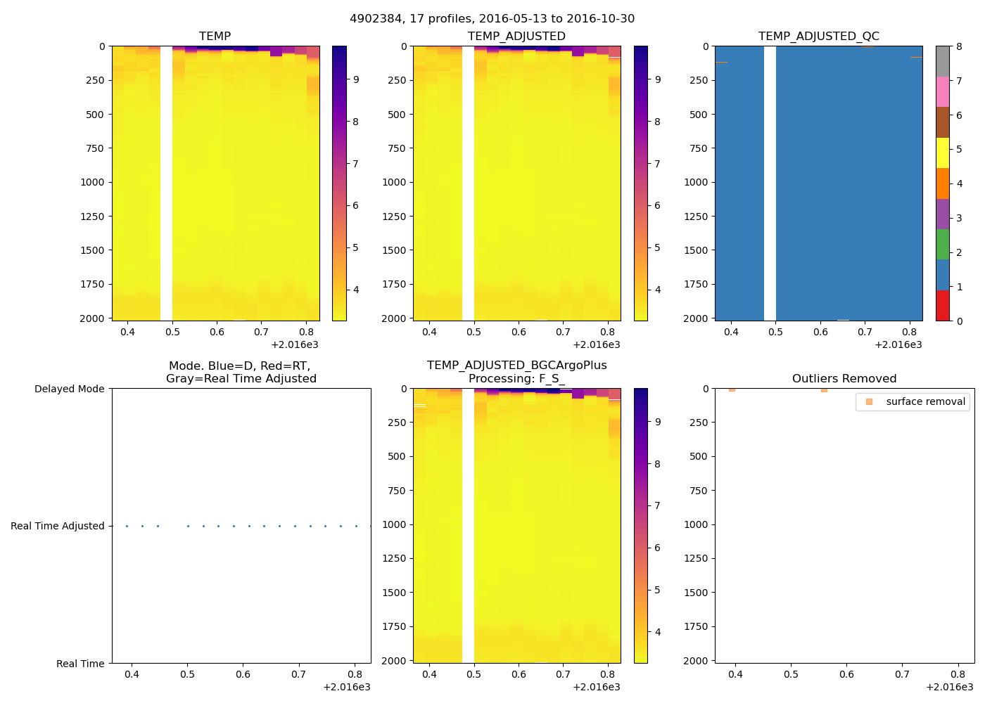
4902384: Argo Canada (2016-05-13T21:27 to 2016-10-30T08:52)
17 profiles completed
Individual float file download: BGC_Argo_Plus_Global
