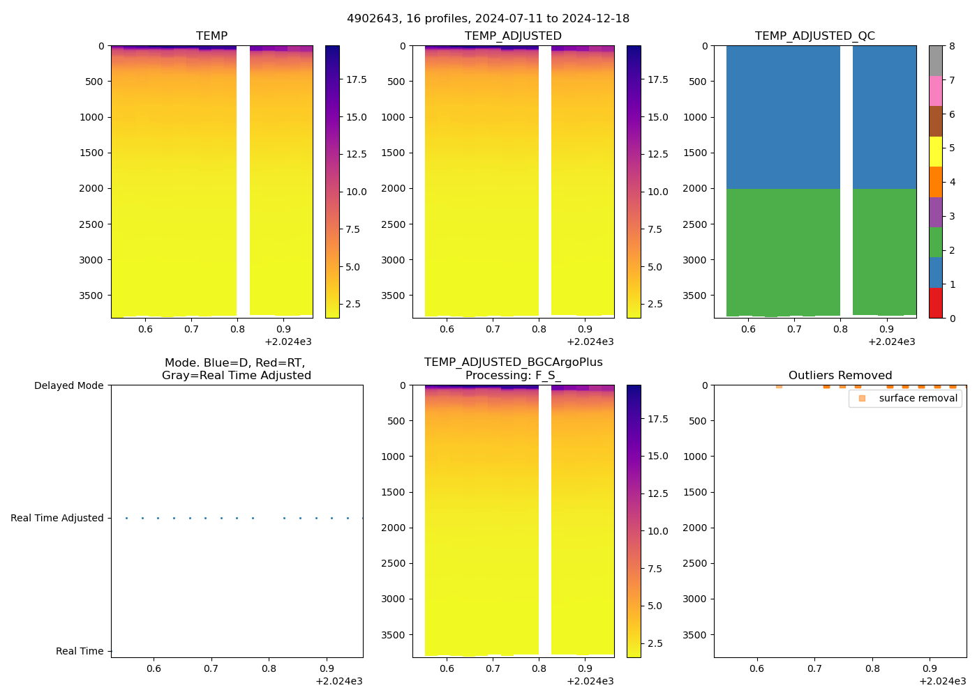
4902643: Argo Canada (2024-07-11T09:13 to 2024-12-18T09:25)
16 profiles completed
Individual float file download: BGC_Argo_Plus_Global

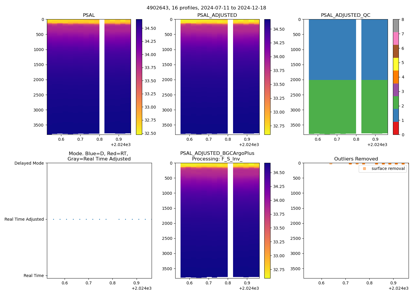
4902643: Argo Canada (2024-07-11T09:13 to 2024-12-18T09:25)
16 profiles completed
Individual float file download: BGC_Argo_Plus_Global
