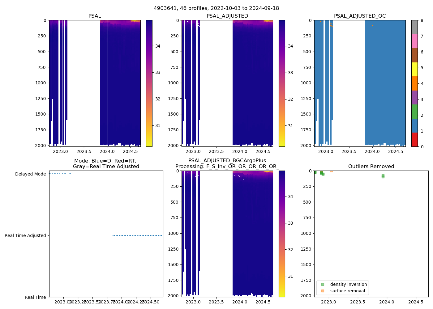
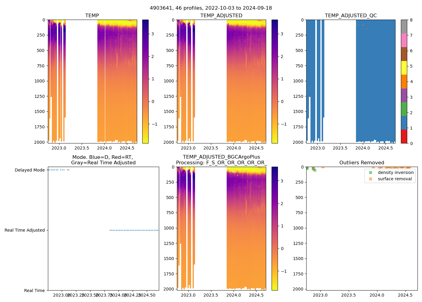
4903641: NorArgo2 (2022-10-03T16:33 to 2024-09-18T16:53)
46 profiles completed
Individual float file download: BGC_Argo_Plus_Global
img-png img-png img-png img-png img-png img-png img-png img-png