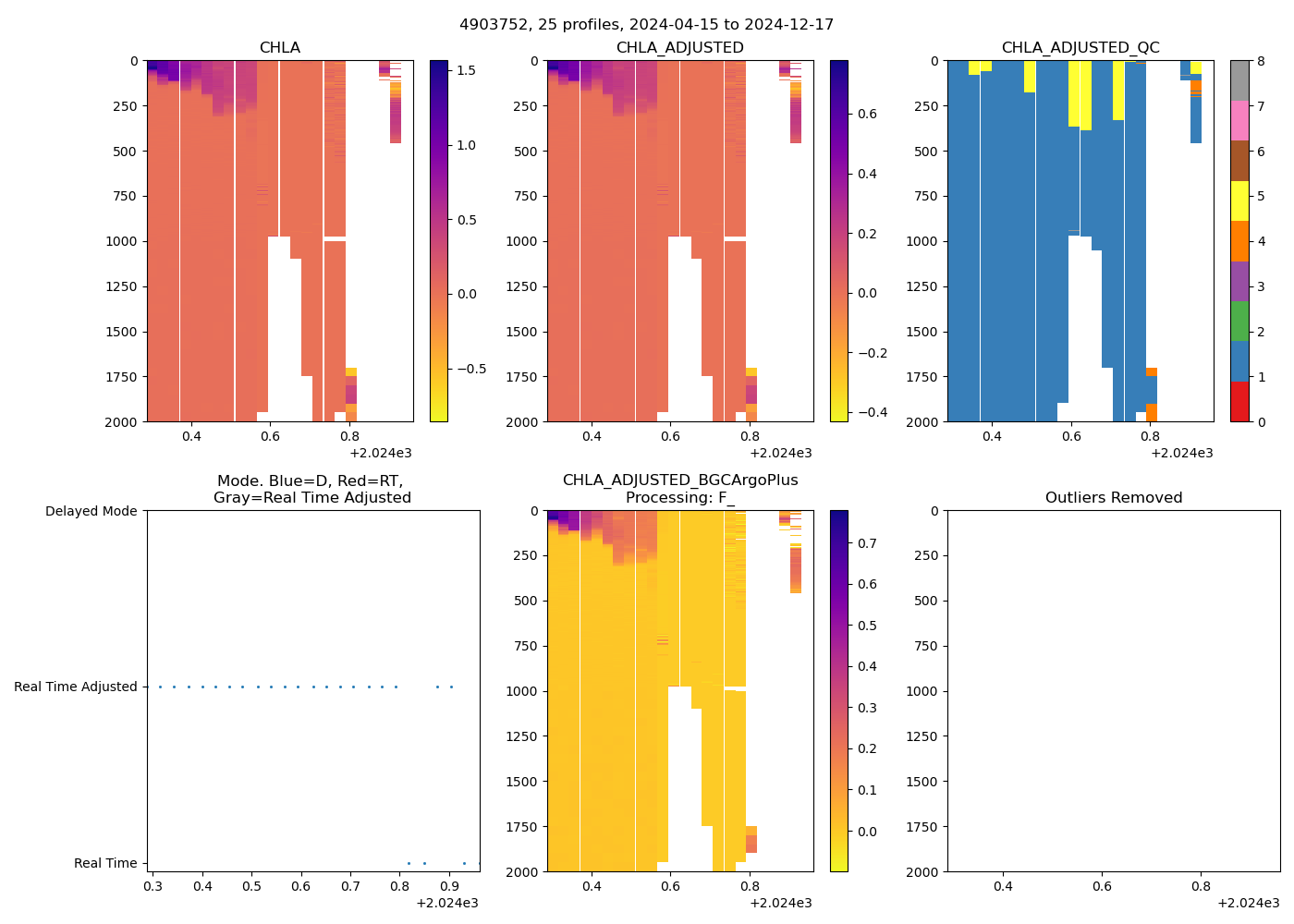
4903752: Argo, GO-BGC (2024-04-15T09:59 to 2024-12-17T03:14)
25 profiles completed
Individual float file download: BGC_Argo_Plus_Global

4903752: Argo, GO-BGC (2024-04-15T09:59 to 2024-12-17T03:14)
25 profiles completed
Individual float file download: BGC_Argo_Plus_Global
