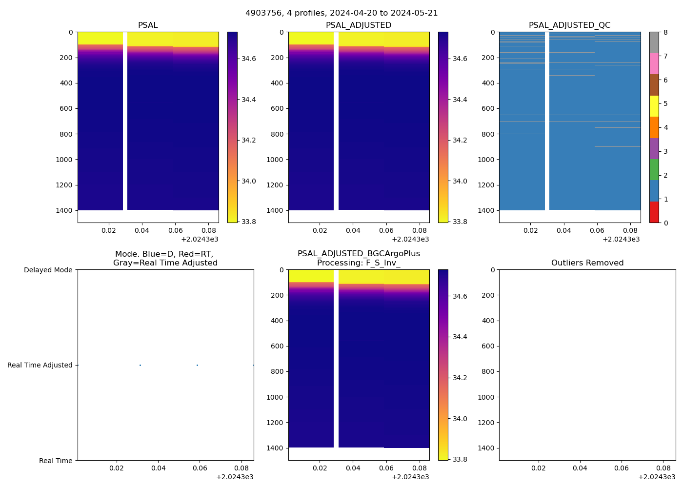
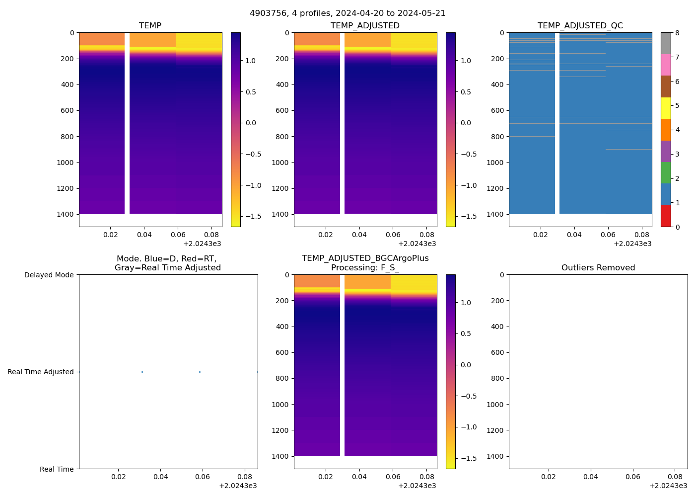
4903756: Argo, GO-BGC (2024-04-20T19:12 to 2024-05-21T12:19)
4 profiles completed
Individual float file download: BGC_Argo_Plus_Global

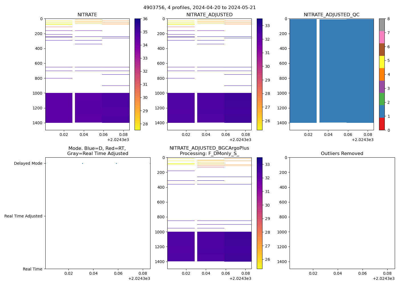
4903756: Argo, GO-BGC (2024-04-20T19:12 to 2024-05-21T12:19)
4 profiles completed
Individual float file download: BGC_Argo_Plus_Global
