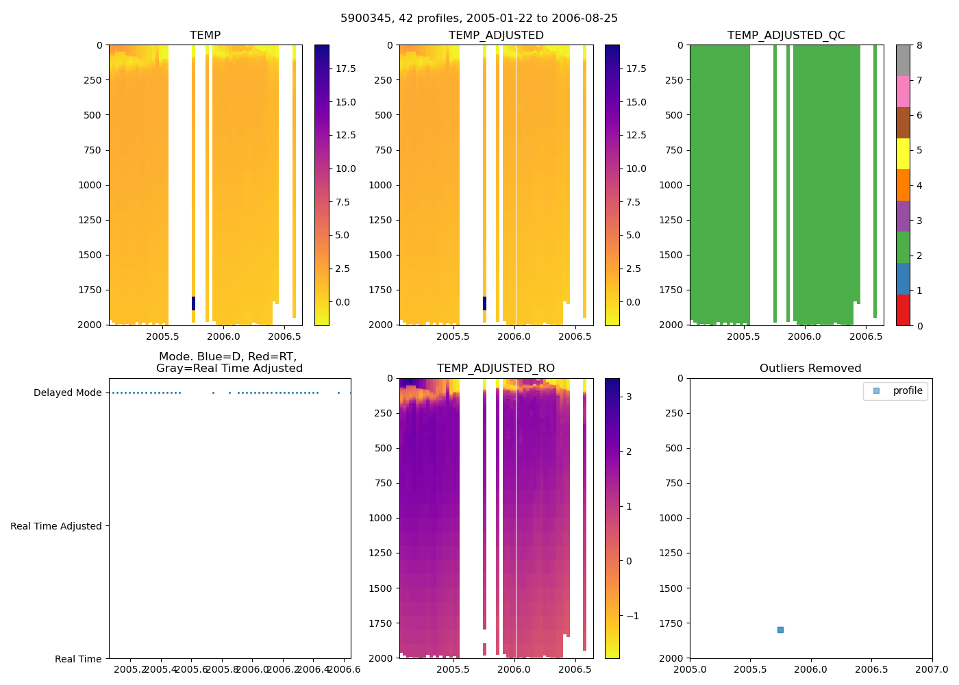
5900345: Argo Australia (2005-01-22T07:22 to 2006-08-25T04:34)
42 profiles completed
Individual float file download: BGC_Argo_Plus_Global

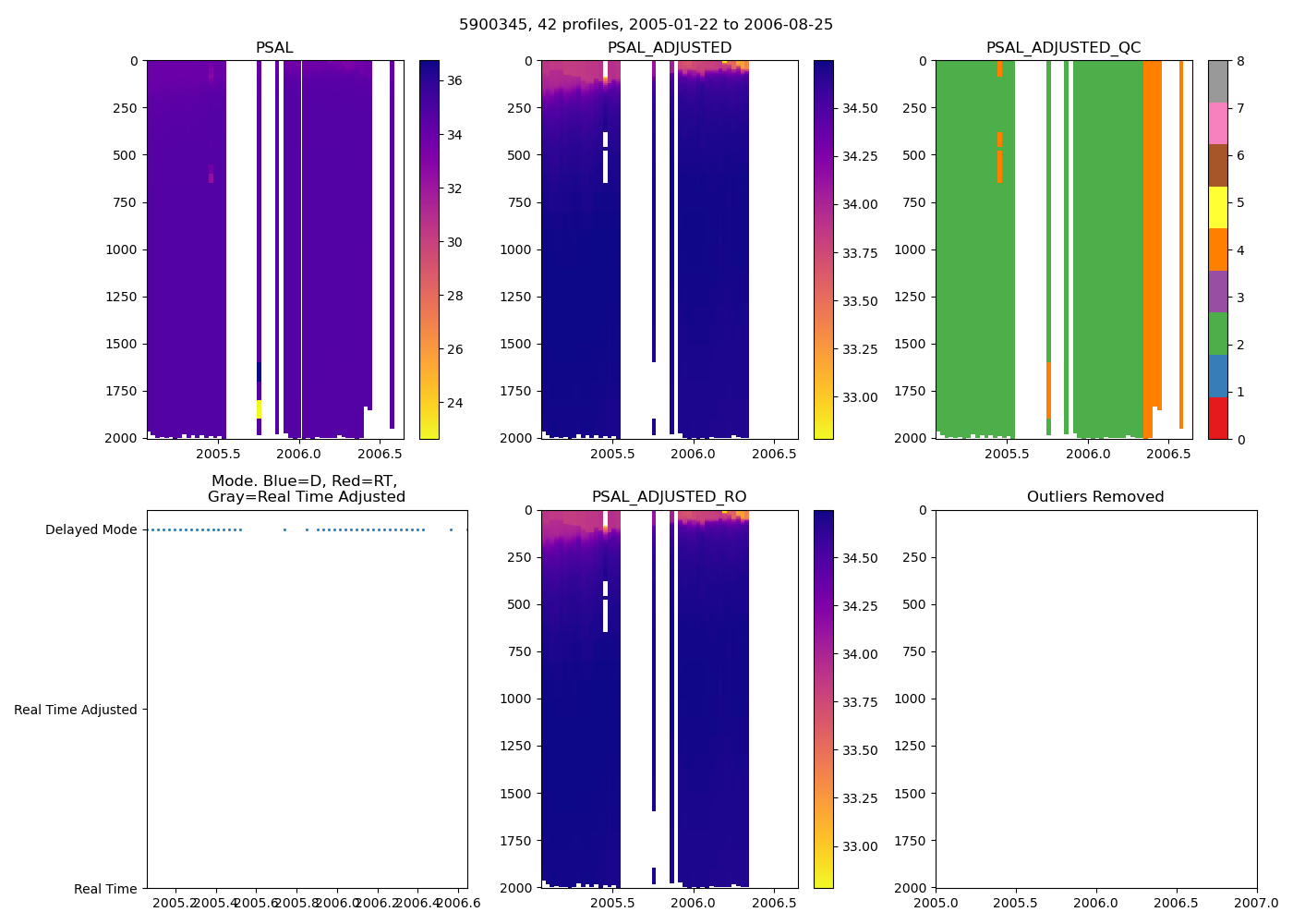
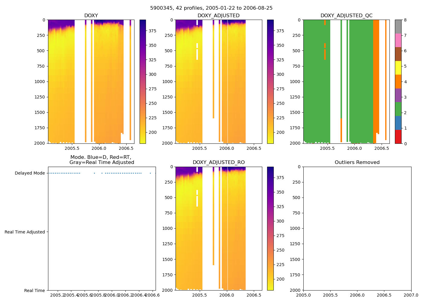
5900345: Argo Australia (2005-01-22T07:22 to 2006-08-25T04:34)
42 profiles completed
Individual float file download: BGC_Argo_Plus_Global
