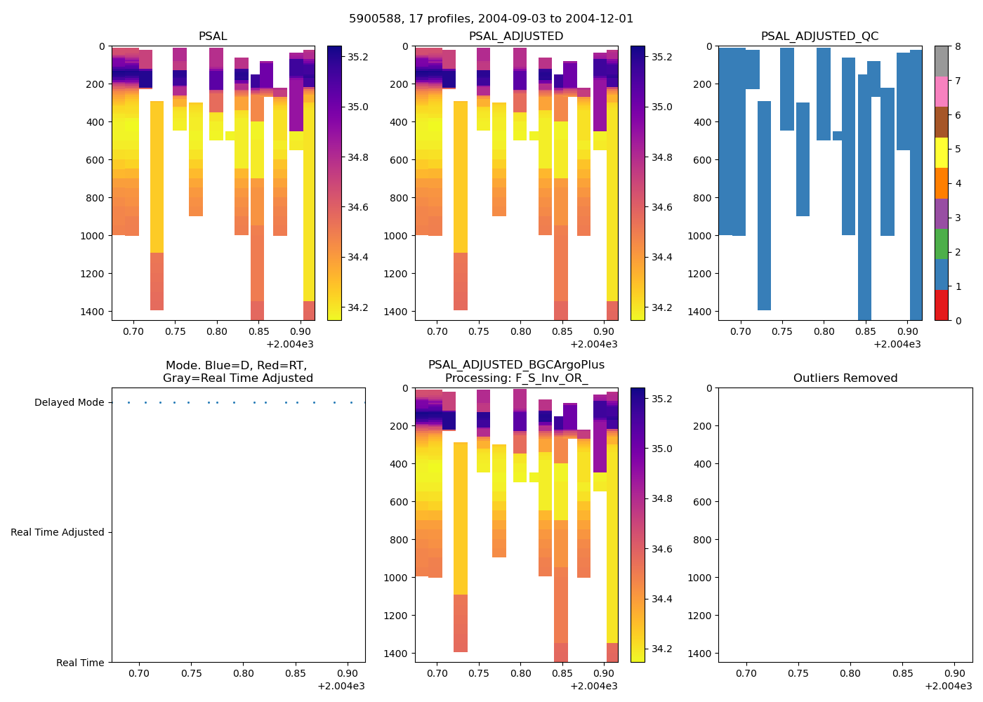
5900588: US ARGO PROJECT (2004-09-03T22:56 to 2004-12-01T15:28)
17 profiles completed
Individual float file download: BGC_Argo_Plus_Global

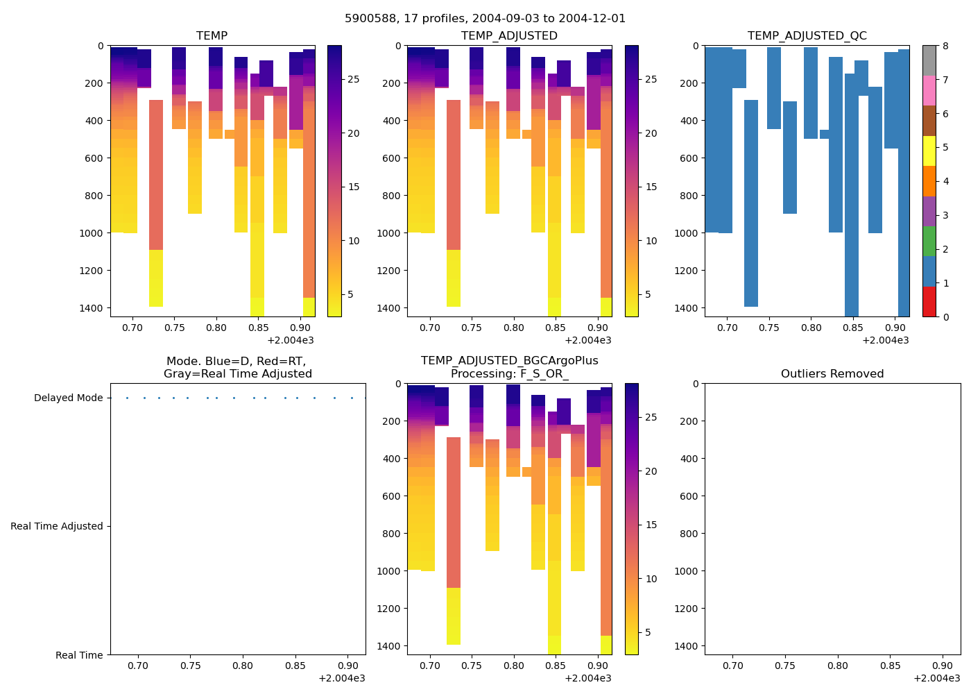
5900588: US ARGO PROJECT (2004-09-03T22:56 to 2004-12-01T15:28)
17 profiles completed
Individual float file download: BGC_Argo_Plus_Global
