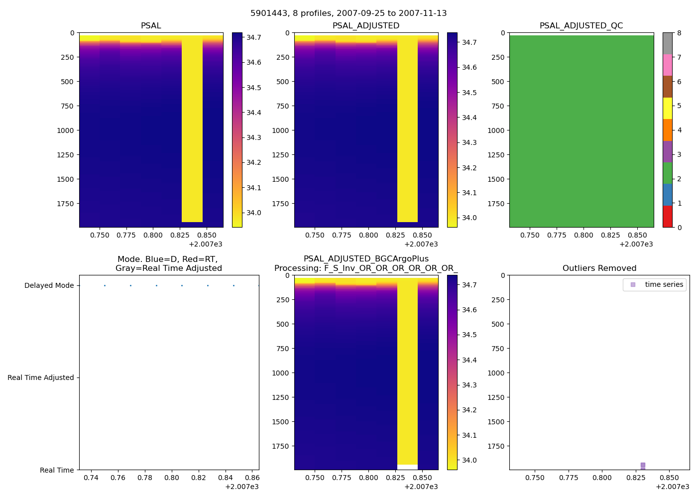
5901443: US ARGO PROJECT (2007-09-25T22:47 to 2007-11-13T17:23)
8 profiles completed
Individual float file download: BGC_Argo_Plus_Global

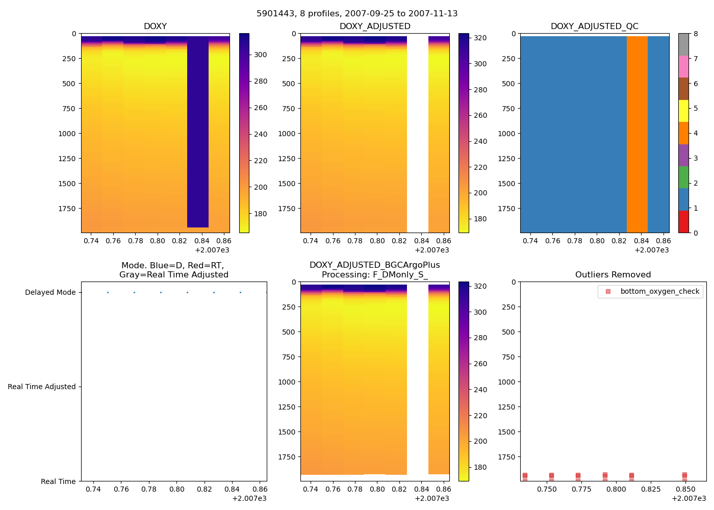
5901443: US ARGO PROJECT (2007-09-25T22:47 to 2007-11-13T17:23)
8 profiles completed
Individual float file download: BGC_Argo_Plus_Global
