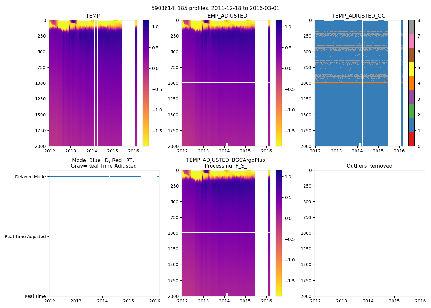
5903614: US ARGO PROJECT (2011-12-18T08:33 to 2016-03-01T23:27)
185 profiles completed
Individual float file download: BGC_Argo_Plus_Global
img-png img-png img-png img-png img-png