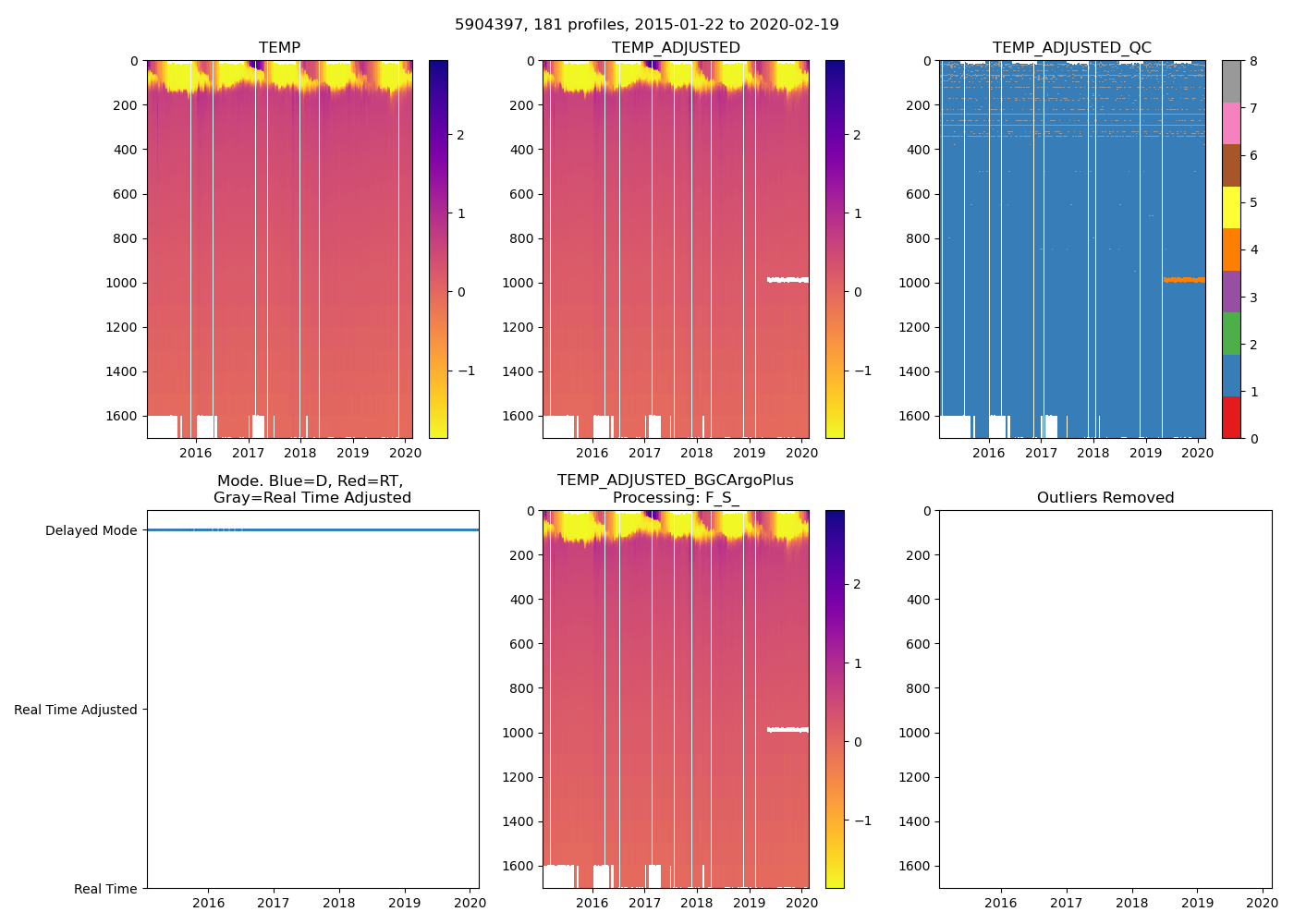
5904397: UW, SOCCOM, Argo equivalent (2015-01-22T05:14 to 2020-02-19T01:33)
181 profiles completed
Individual float file download: BGC_Argo_Plus_Global

5904397: UW, SOCCOM, Argo equivalent (2015-01-22T05:14 to 2020-02-19T01:33)
181 profiles completed
Individual float file download: BGC_Argo_Plus_Global
