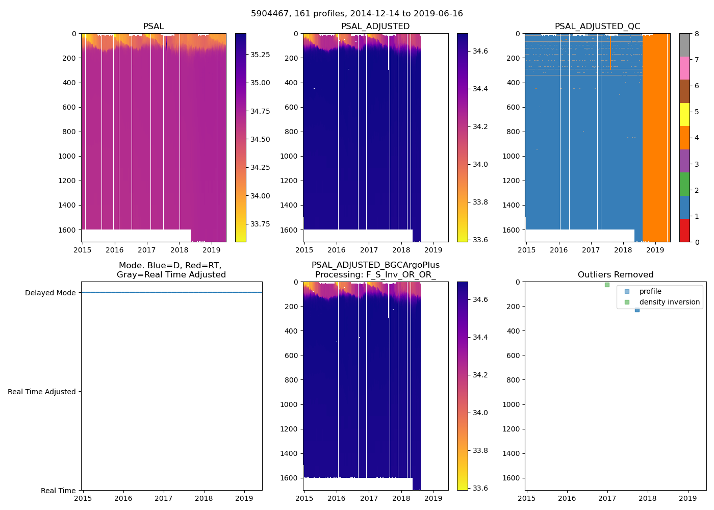
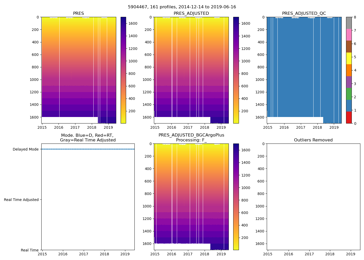
5904467: UW, SOCCOM, Argo equivalent (2014-12-14T18:48 to 2019-06-16T22:57)
161 profiles completed
Individual float file download: BGC_Argo_Plus_Global

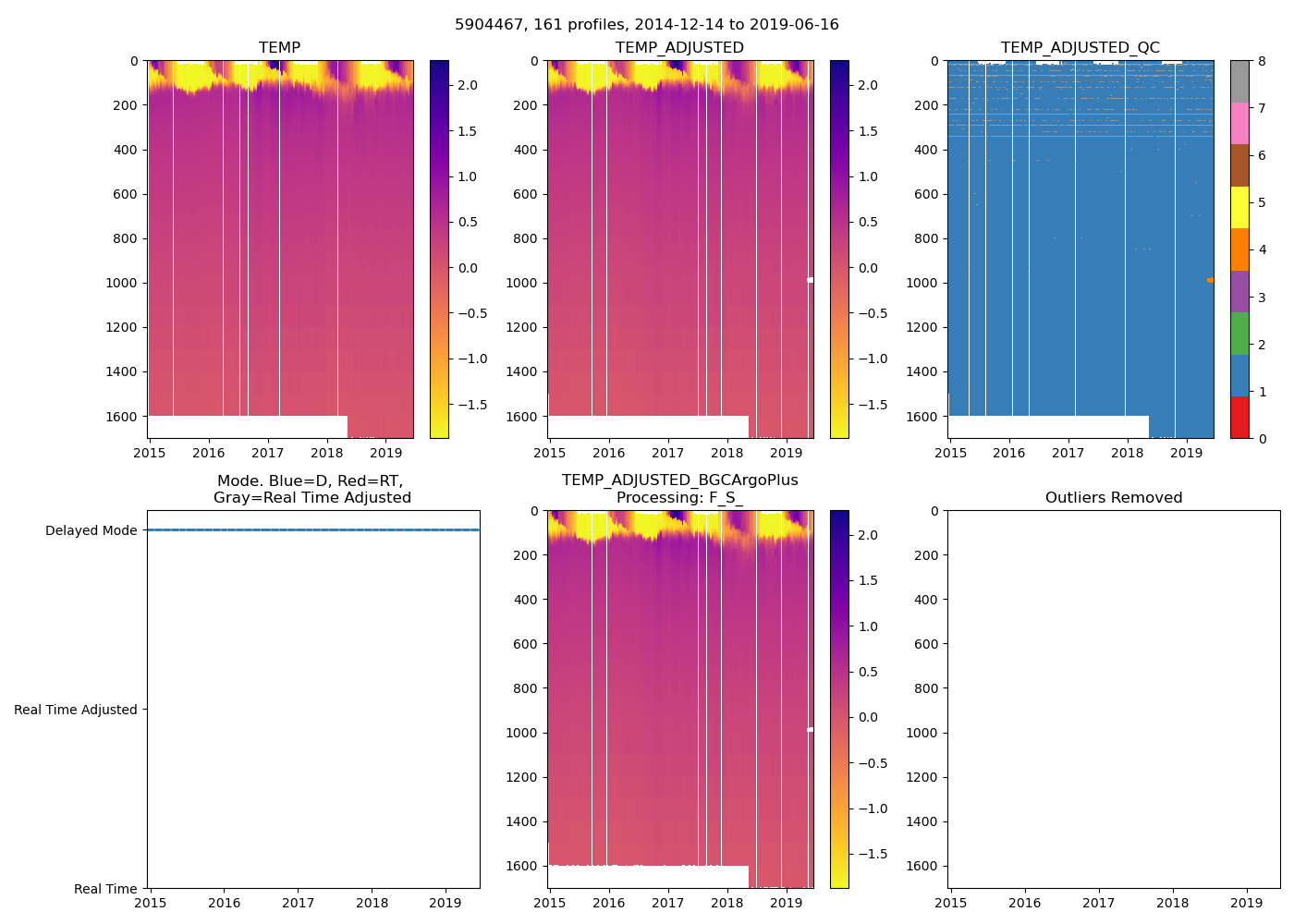
5904467: UW, SOCCOM, Argo equivalent (2014-12-14T18:48 to 2019-06-16T22:57)
161 profiles completed
Individual float file download: BGC_Argo_Plus_Global
