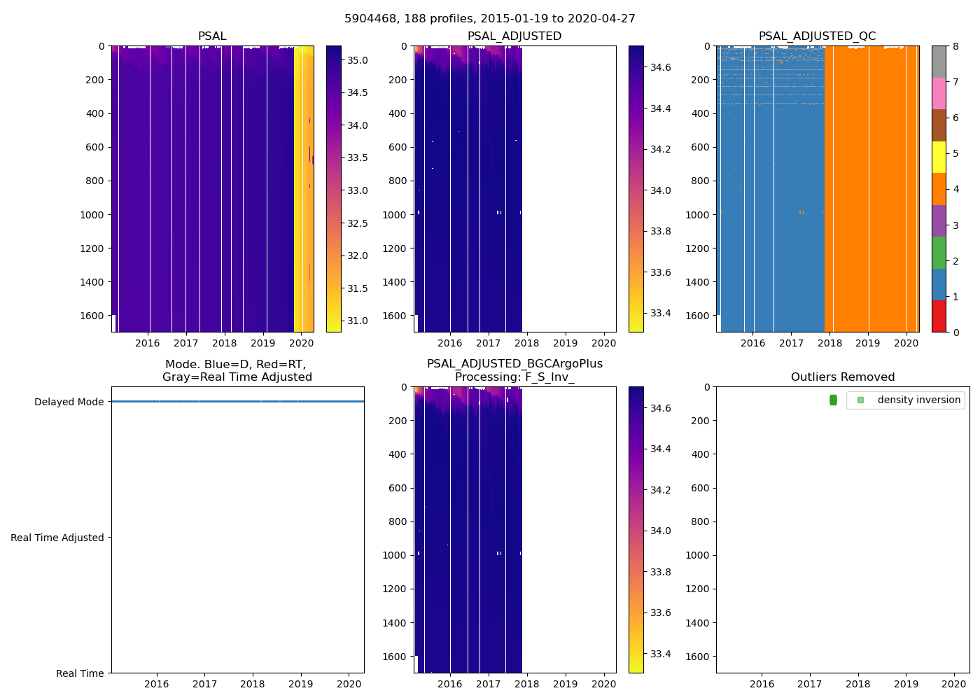
5904468: UW, SOCCOM, Argo equivalent (2015-01-19T21:54 to 2020-04-27T16:44)
188 profiles completed
Individual float file download: BGC_Argo_Plus_Global

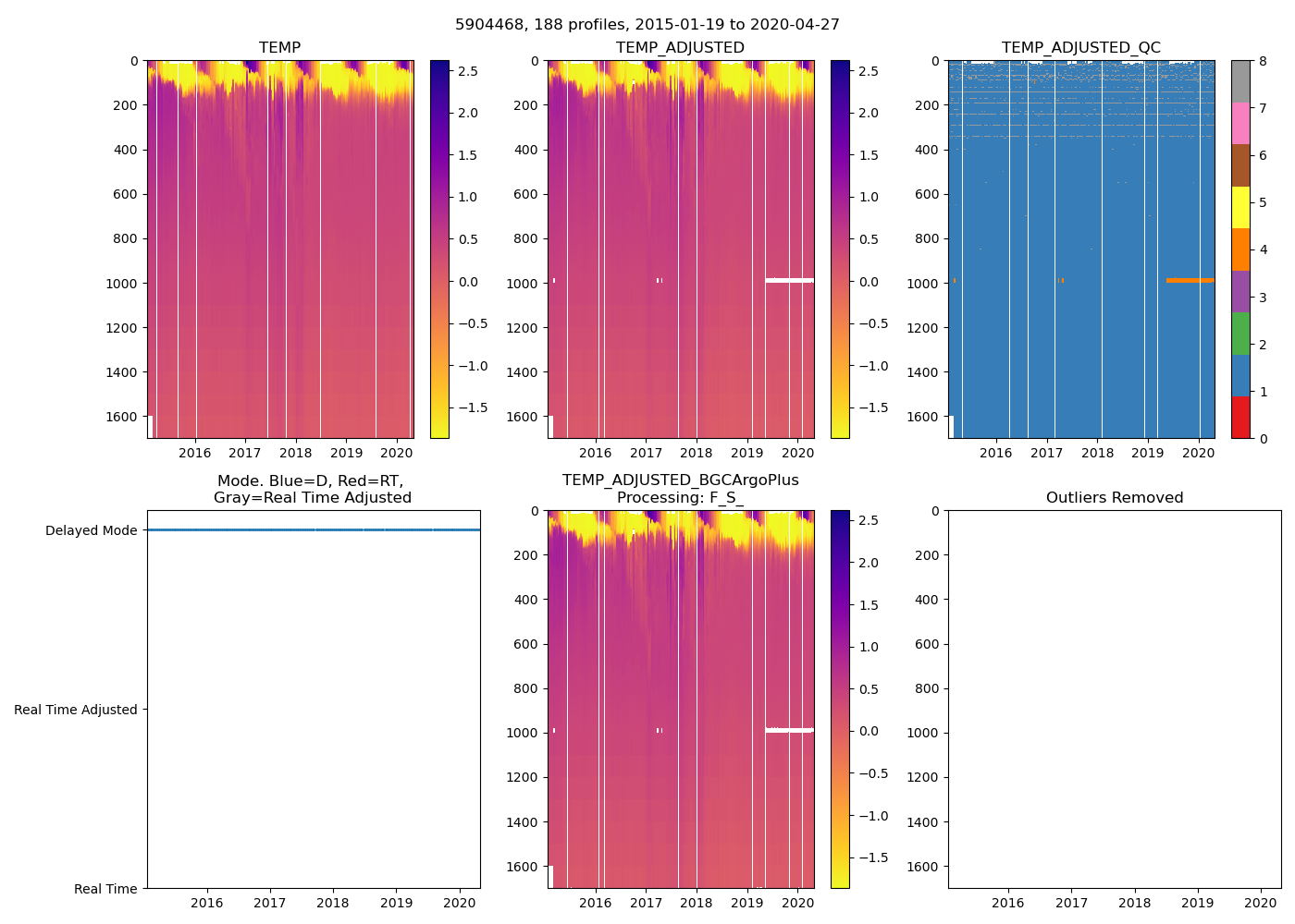
5904468: UW, SOCCOM, Argo equivalent (2015-01-19T21:54 to 2020-04-27T16:44)
188 profiles completed
Individual float file download: BGC_Argo_Plus_Global
