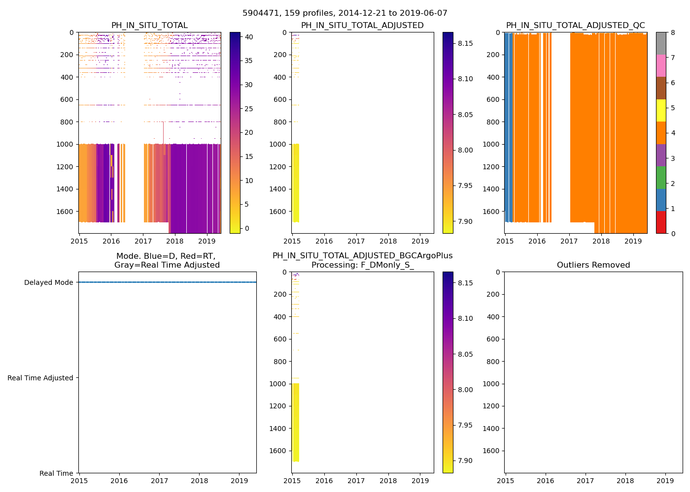
5904471: UW, SOCCOM, Argo equivalent (2014-12-21T12:46 to 2019-06-07T19:40)
159 profiles completed
Individual float file download: BGC_Argo_Plus_Global

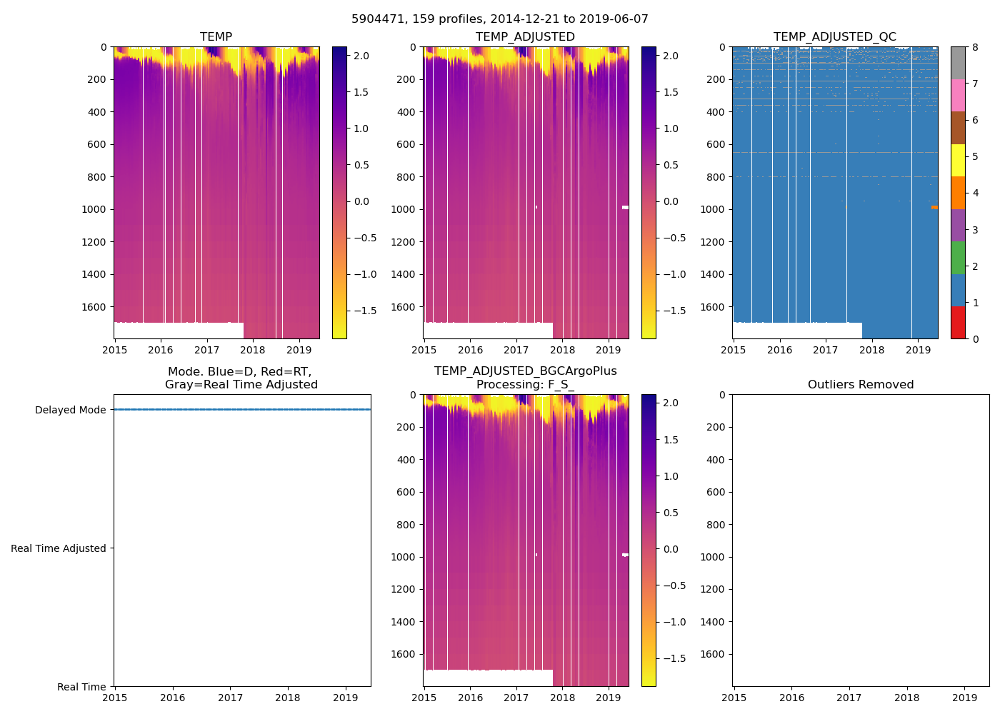
5904471: UW, SOCCOM, Argo equivalent (2014-12-21T12:46 to 2019-06-07T19:40)
159 profiles completed
Individual float file download: BGC_Argo_Plus_Global
