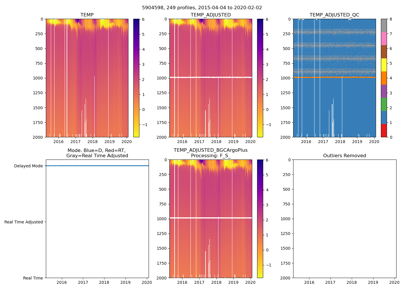
5904598: US ARGO PROJECT (2015-04-04T05:13 to 2020-02-02T16:39)
249 profiles completed
Individual float file download: BGC_Argo_Plus_Global

5904598: US ARGO PROJECT (2015-04-04T05:13 to 2020-02-02T16:39)
249 profiles completed
Individual float file download: BGC_Argo_Plus_Global
