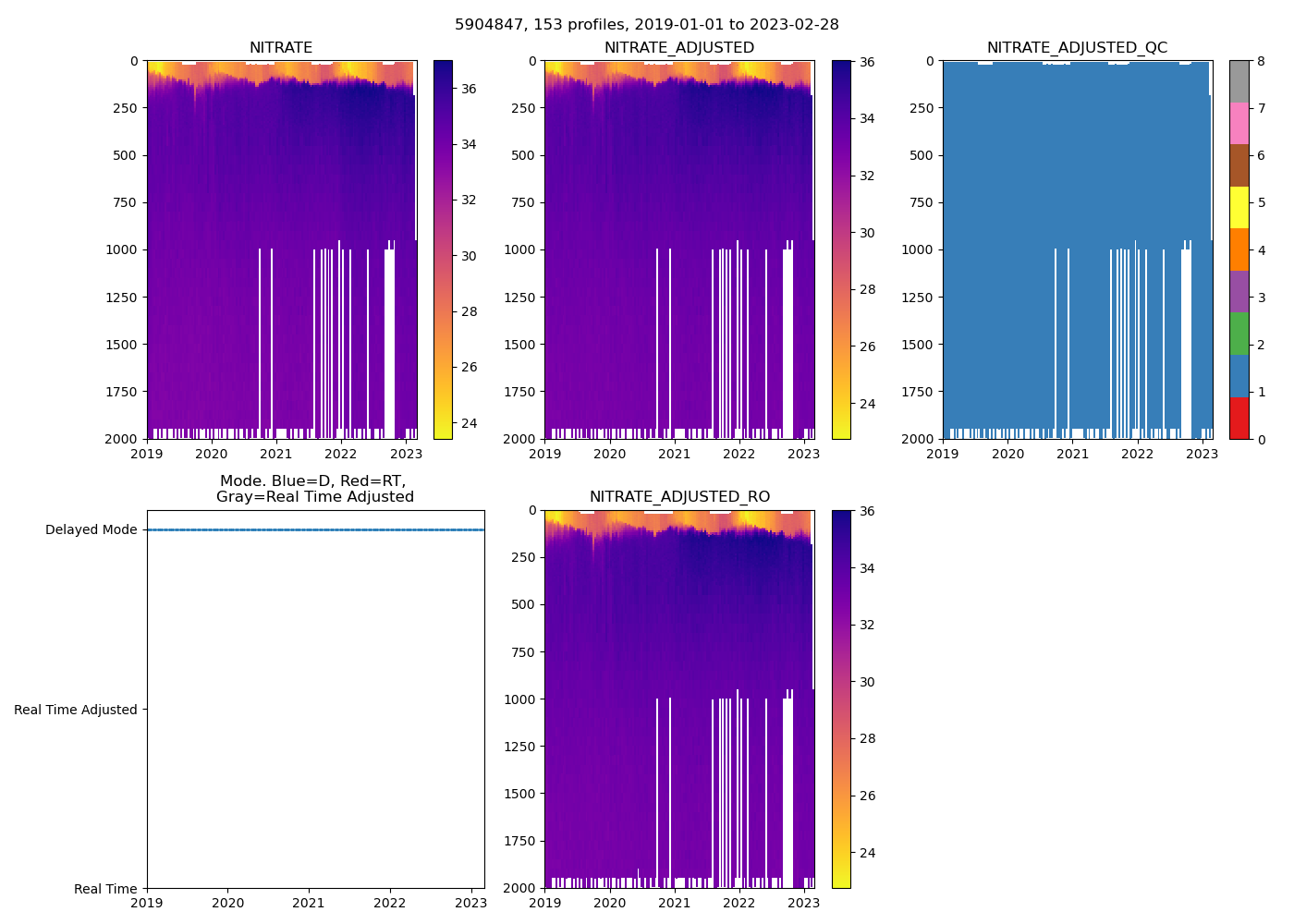
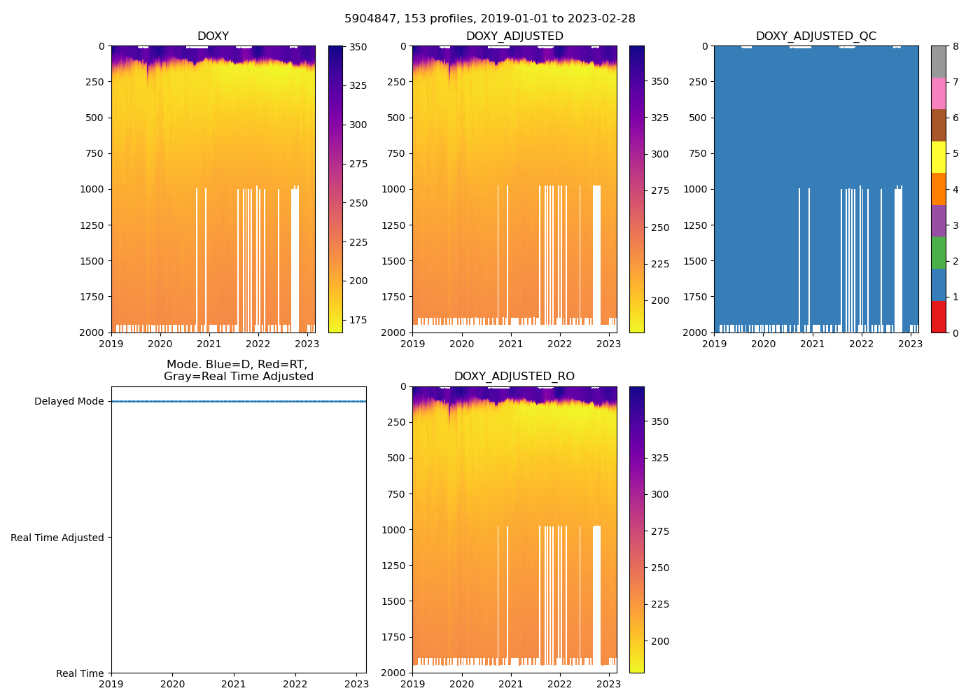
5904847: UW, SOCCOM, Argo equivalent (2019-01-01T11:11 to 2023-02-28T22:27)
153 profiles completed
Individual float file download: BGC_Argo_Plus_Global
img-png img-png img-png img-png img-png img-png img-png img-png img-png img-png img-png