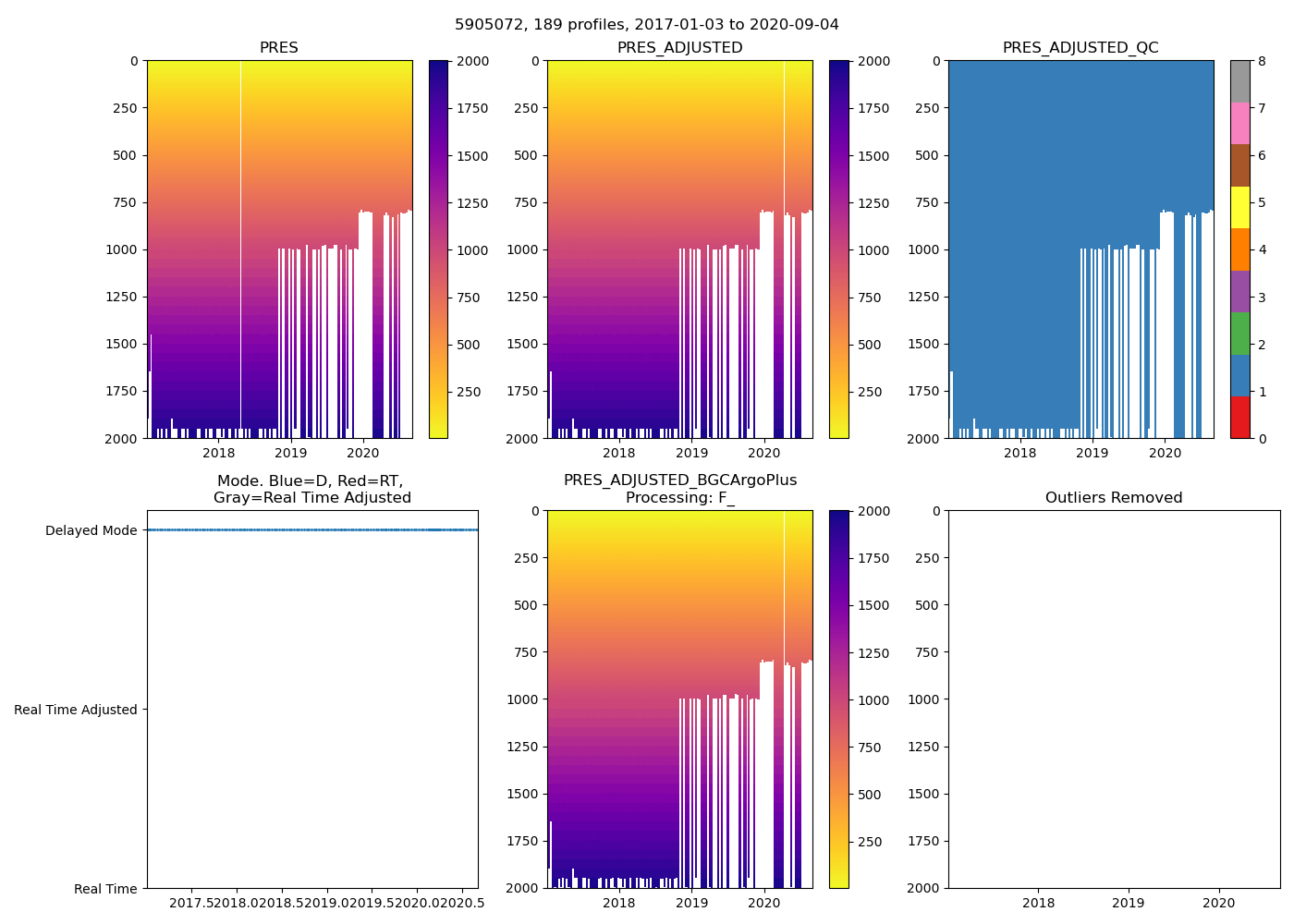
5905072: UW, SOCCOM, Argo equivalent (2017-01-03T22:36 to 2020-09-04T18:37)
189 profiles completed
Individual float file download: BGC_Argo_Plus_Global

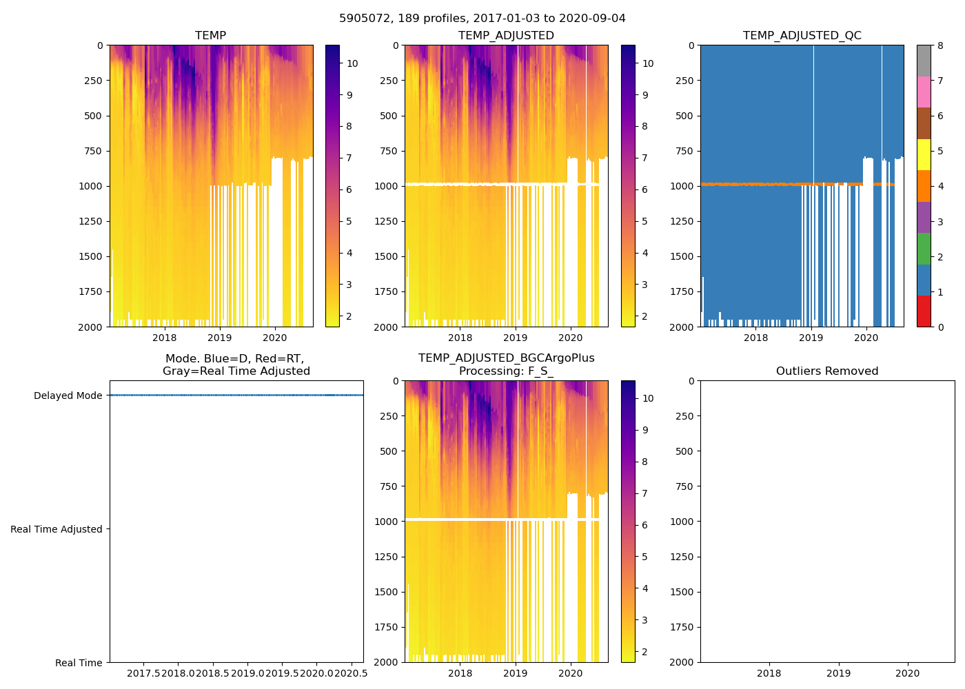
5905072: UW, SOCCOM, Argo equivalent (2017-01-03T22:36 to 2020-09-04T18:37)
189 profiles completed
Individual float file download: BGC_Argo_Plus_Global
