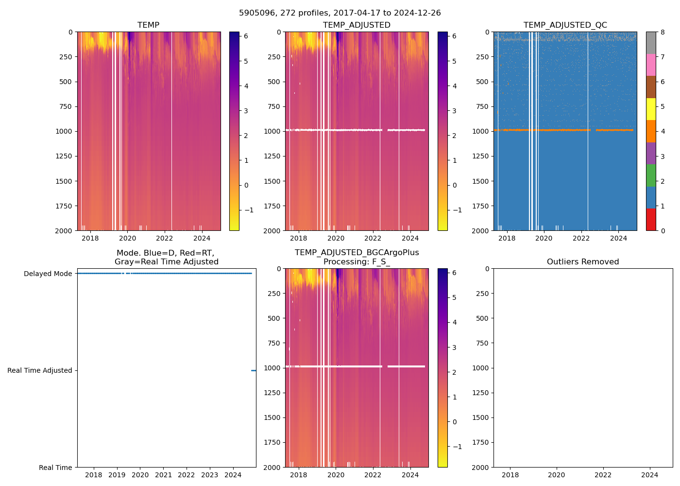
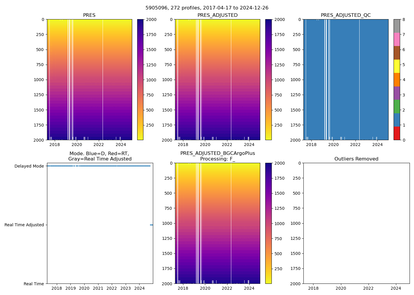
5905096: UW, Argo (2017-04-17T04:46 to 2024-12-26T01:45)
272 profiles completed
Individual float file download: BGC_Argo_Plus_Global
img-png img-png img-png img-png img-png img-png