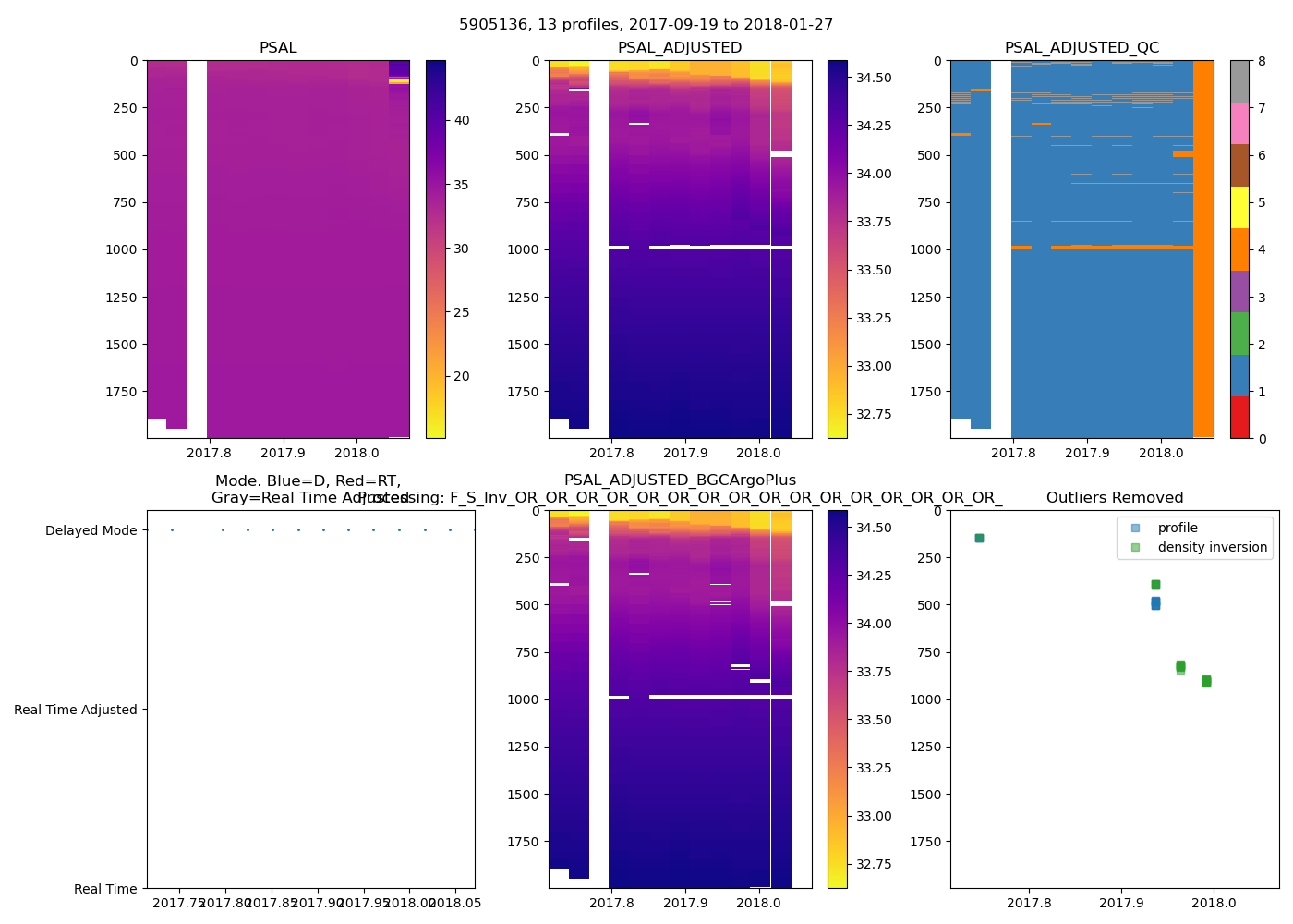
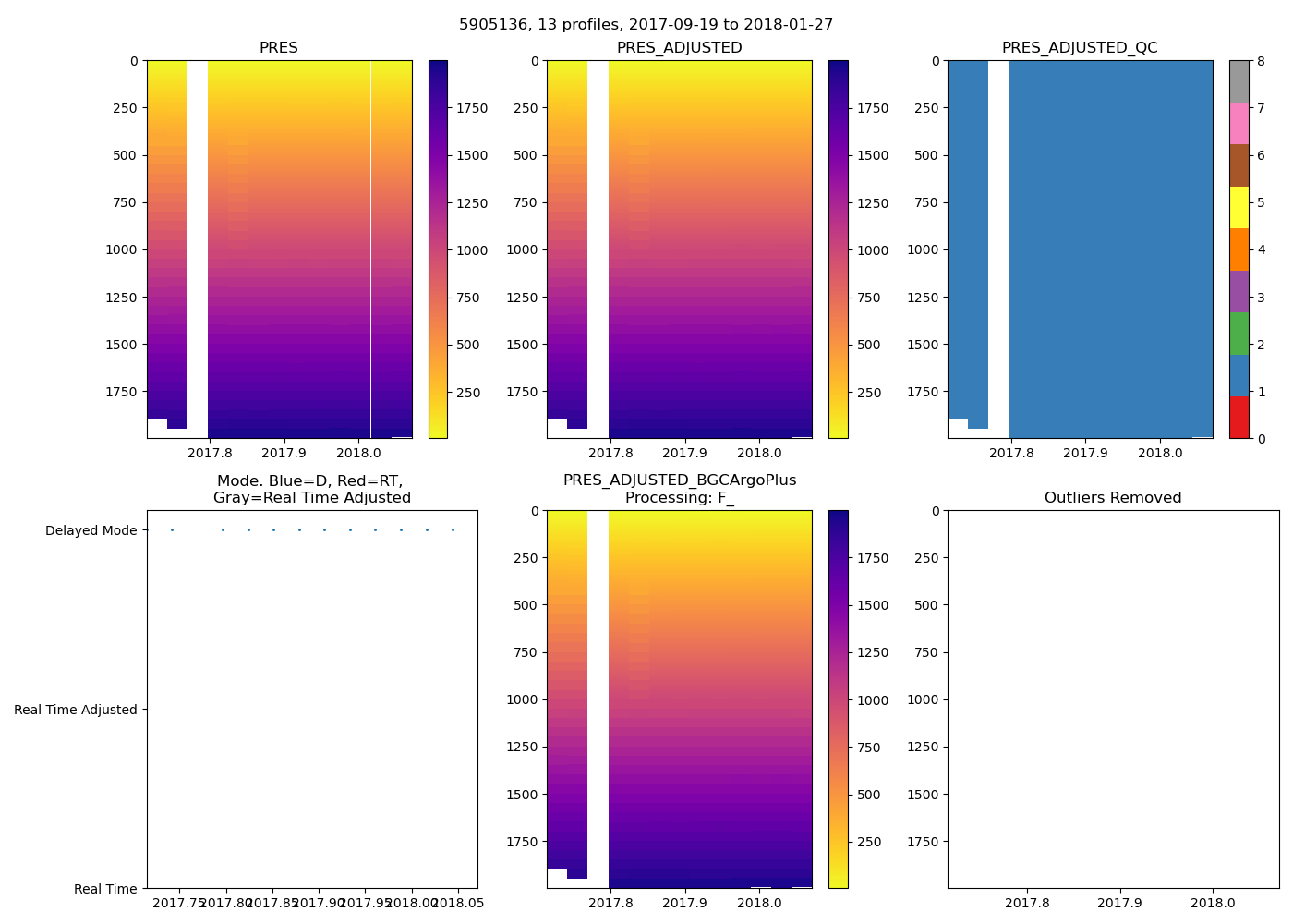
5905136: UW, Argo (2017-09-19T18:57 to 2018-01-27T05:04)
13 profiles completed
Individual float file download: BGC_Argo_Plus_Global
img-png img-png img-png img-png img-png img-png img-png